超级电容器 (SC)通常在约 2.7 V 的低电压下运行。为了获得更高的运行电压,必须建立串联的 SC 电池级联。由于生产或老化引起的电容和绝缘电阻的变化,单个电容器两端的电压降可能会超过额定电压限制。因此,需要一个平衡系统来防止电容器单元加速老化。
下面对这种串联电路中分压不均的影响进行原理说明。为了更好地理解,讨论了使用两个电容器串联连接的平衡策略。
超级电容器串联不平衡
电容器可以通过并联 RC 元件和绝缘电阻器来建模。目前,我们可以忽略绝缘电阻,并考虑串联两个电容为C 1和C 2 的电容器。在这种情况下,能量的数量是电容器上的电荷q,即其内部界面上的电荷。借助电荷守恒定律

是每个电容器两端的电压降

和

和

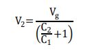
作为总电压。下面,我们可以考虑C 1大于C 2 的情况。在这种情况下,每个电容器两端的电压降为

和

和

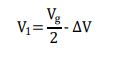
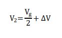
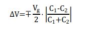
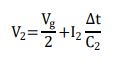
要将每个电容器的电压设置为 V r = V 1 = V 2,必须增加电容器 1 上的电荷并减少电容器 2 上的电荷。使用电流的定义(I = dq / dt),电压可以写为

和

电流I 1,2被解释为必须在时间跨度Δt 内流动以平衡该系统的电流。在给定时间段Δt 内平衡电压差ΔV所需的恒定电流为

平衡策略
文献根据各种特征对平衡策略进行分类,例如:
耗能行为
平衡速度
使用的技术类型
价钱
因此,在选择正确的平衡策略时,重要的是要了解特定应用的所有参数和约束条件,以便做出正确的选择。在这里,我们区分主动平衡和被动平衡。
主动平衡涉及使用主动控制的开关或放大器系统。被动平衡涉及使用分流器或电压相关电阻来减少过电压的影响。与被动平衡相比,主动平衡速度快,通常节能,但成本也相对较高。另一方面,被动平衡相对较慢,通常会导致电荷损失增加,但成本较低。
测量
测试了 Würth Elektronik 的两个 SC 的串联连接:
电容器 1:C 1 = 10 F
电容器 2:C 2 = 15 F
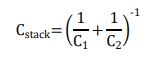
这对应于与标称电容 C r = 12.5 F的理论电容器的偏差。
对于充电,我们使用 V g = 5.4 V 的充电电压和 I c = 2 A的最大充电电流。
为了可靠的电路设计,我们想强调的是,不建议将具有不同标称电容的 SC 组合。选择此组合仅用于实验目的。
还研究了每个电路在 24 小时内的自放电行为。为此,我们在电容器完全充电和平衡后将整个平衡电路与主电源断开。
1kΩ 电阻器
对于被动平衡,我们使用了 1 kΩ (1%) 和额定功率为 0.6 W 的电阻器。选择该电阻器以缩短平衡时间而不是低功耗。测得的电压V 1和V 2以及由此产生的电压差V 1 – V 2(如图 1 所示)表明大约 600 分钟后完全平衡。V 1和V 2渐近逼近V r。

图 1:随时间变化的电池电压
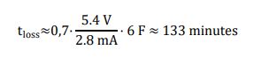
12 小时后的总功耗(根据有效漏电流计算,I loss)为 2.8 mA × 5.4 V ≈ 15 mW。对于低功耗应用或备份解决方案,这种补偿速度可以足够快并且功耗是可以接受的。对于独立的电池供电应用,应增加电阻以减少损耗。为了安全起见,还建议降低工作电压以避免过压。
自放电的半衰期估计为

和

因此,本示例中的结果如下:


图 2:测量的带电阻器的均衡电路的自放电
稳压二极管 BZX79-B2V7
我们使用了 NXP Semiconductors 的稳压二极管 BZX79-B2V7。结果如图 3 所示,显示大约 80 分钟后完全均衡。总功耗为 500 mW 的数据表值,测量值大致符合理论近似值


12 小时后的总功耗(有效漏电流,I loss)为 5 mA × 5.4 V ≈ 27 mW。在较低电压下,功耗甚至更低。(数据表定义:I loss (1 V) = 20 μA。)

图 3:随时间变化的电池电压
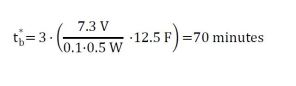
我们可以估计,在我们的案例中,数据表中的值I loss (1 V) = 20 μA 大约高出 10 倍。当f = 10 时,串联连接的自放电的理论半衰期,与齐纳二极管平衡,可以估计为



图 4:使用齐纳二极管测量的均衡电路的自放电
图 4 中所示的自放电测量结果表明t loss * = 1,900 分钟大约对应于自放电的实际半衰期。
MOSFET ALD910022(测试板SABMB2)
基于 MOSFET 的均衡电路是使用 Advanced Linear Devices 的 ALD910022 MOSFET 的 SABMB2 测试板实现的。图 5 中的结果显示约 300 分钟后完全均衡。12 小时后的总功耗为 1.5 mA × 5.4 V ≈ 8 mW,大约与齐纳二极管一样低。

图 5:随时间变化的电池电压

图 6:测量的具有 MOSFET 的均衡电路的自放电
图 6 中的自放电测量结果表明,24 小时后,电池电压已降至约 4 V。在此速率下,t loss约为数天。
放大器 OPA2677
对于有源平衡,我们使用了 OPA2677 放大器(Texas Instruments)。OPA2677 的优势是 500 mA 的相对较高的输出电流,可实现快速平衡。图 7 中测得的电池电压显示了充电时间内的即时平衡,该测量约为 3 分钟。输出端的阻尼电阻不应小于 0.4 Ω,以防止输出电压振荡。1 Ω 的电阻在快速均衡和阻尼之间提供了最佳选择。

图 7:随时间变化的电池电压
12 小时后的总功耗为 50 mA × 5.4 V ≈ 270 mW。大部分功率通过放大器电源端子耗散。这种相对较高的功耗显示了这种策略的主要缺点。虽然速度很快,但它也有很高的永久功耗。

图 8:使用 OPA2677 测量均衡电路的自放电
图 8 中的自放电测量结果显示了t loss = 5 分钟的自放电半衰期。
尽管电路始终确保平衡电荷,但通过电源通道的损耗很大。
平衡板 LTC3128
DC1887A 评估板使用 ADI 公司的 LTC3128 降压-升压型充电和平衡电路。这会以 4.2 V 的预设电压为 SC 充电。该板在 5.5 V 的电源电压下运行。图 9 中显示的测量结果显示 1.5 分钟后完全平衡。

图 9:随时间变化的电池电压
12 小时后的总功耗为 0.1 mA × 5.4 V ≈ 0.5 mW。

图 10:使用 LTC3128 测量均衡电路的自放电
概括
用电阻平衡是最慢的平衡策略,但具有功耗低、成本最低、电路设计最简单的优点。Z二极管的平衡速度适中。它提供了相对低功耗、低成本和最简单的电路设计的优点。
MOSFET 电路还具有相对较低的功耗。给定示例的补偿速度适中。尽管与其他策略相比,运算放大器提供了快速平衡,但它的功耗最高。平衡评估板提供最快的平衡和适度的功耗。总的来说,这是一个方便但有点昂贵的解决方案。下表给出了汇总结果的概述:

最后,每个开发人员都有责任根据自己的情况选择和调整最佳解决方案。
审核编辑:汤梓红
矩阵切换器的控制方式
时间:2026-03-05
降压转换器使用陶瓷输出电容器
时间:2026-03-05
金属膜电容和其他电容的简单分类
时间:2026-03-05
矩阵切换器的输入/输出阻抗
时间:2026-03-05
矩阵切换器的输入/输出电平
时间:2026-03-05
分配器的支持分辨率/传输距离
时间:2026-03-05
车载显示屏的屏幕比例
时间:2026-03-05
分配器的输入接口/输出接口
时间:2026-03-05
车载显示屏的屏幕尺寸
时间:2026-03-05
KVM切换器的切换方式
时间:2026-03-05
玻璃釉电容器的结构与特点
时间:2026-03-05
关于STM32WL LSE 添加反馈电阻后无法起振的...
时间:2026-03-05
电阻的标称阻值和允许偏差
时间:2026-03-05
电容器连接到PCB电源层的过孔配置
时间:2026-03-05
电容器常见的故障有
时间:2026-03-05
并联电容器的补偿方式_安装并联电容器的目的
时间:2026-03-05
电容器组禁止什么合闸_电容器组失压属于什么
时间:2026-03-05
贴片电容材质有哪些_贴片电容材质NPO和COG区...
时间:2026-03-05
电容发热的原因是什么
时间:2026-03-05
多类型的电容是否可以统一为某一种类型的电...
时间:2026-03-05