理想变压器是实际变压器的理想化模型,是对互感元件的理想科学抽象,是极限情况下的耦合电感。
理想变压器的几个理想化条件
条件1 :无损耗,认为绕线圈的导线无电阻,做芯子的铁磁材料的磁导率无限大。
条件2 :无漏磁通,即Φs1=Φs2=0,耦合系数K=1,为全耦合,故有Φ11=Φ21,Φ22=Φ12。

磁滞现象是导磁材料的一种特性,当变压器线圈里有交流电流时,就会产生交变磁场,这个交磁滞现象变磁场反复对铁芯进行磁化,由于铁芯有一定的磁阻,在磁化过程中就有磁滞现象,这种由磁滞现象所引起的能量损耗,叫做磁滞损耗。再者,当变压器的原线圈通电后,线圈所产生的磁通在磁芯中流动,由于铁芯本身是导体,在垂直于磁感线的平面上就会产生感应电动势,这个电动势在铁芯的断面上形成闭合回路并产生电流,就像漩涡一样,我们把这个电流称为“涡流”。“涡流”使变压器的铁芯发热,温度升高,这种损耗称为“涡流损耗”。变压器的磁滞损耗和涡流损耗统称为“铁耗”。若是理想变压器,其铁芯属于软磁材料,磁导率认为无穷大,磁阻趋于零,磁滞损耗可以忽略;同时也要忽略涡流损耗。
变压器的线圈存在着电阻,电流流过电阻时会产生热量,要消耗一定的功率,我们称这种损耗为“铜损”。当变压器副线圈短路时,副线圈的电流很大,导致原线圈的电流也很大,在线圈电阻上消耗的功率不能忽略,这时的变压器不能认为是理想变压器。
变压器发热主要是由铁损和铜损造成的。由于变压器存在着铁损和铜损,所以它的输出功率永远小于输入功率。但对理想变压器而言,不计铁损和铜损,即不消耗能量,也不储存能量,认为输入功率等于输出功率。

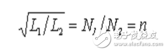
条件3 :参数无限大,即自感系数和互感系数

但满足:

上式中 N 1 和 N 2 分别为变压器原、副边线圈匝数, n 为匝数比。以上三个条件在工程实际中不可能满足,但在一些实际工程概算中,在误差允许的范围内,把实际变压器当理想变压器对待,可使计算过程简化。
因有K=1,L1→∞,L2→∞,故有M→∞。
满足以上四个条件的耦合电感称为理想变压器。可见理想变压器可认为是耦合电感的极限情况。即K=1,L1→∞,L2→∞,M→∞的情况,它纯粹是一种变化信号的传输电能的元件,但它与耦合电感在本质上已不同了。耦合电感是依据电磁感应原理工作的,是动态元件,需要三个参数L1,L2,M来描述;而理想变压器已没有了电磁感应的痕迹,是静态元件,只需要一个参数n来描述。理想变压器是电路的基本无源元件之一。工程实际中使用的铁心变压器,在精确度要求不高时,均可用理想变压器作为它的电路模型来进行分析与计算。
简而言之,理想变压器就是无磁损、无铜损、无铁损的变压器
继电器几个典型常用的接线图
时间:2026-03-06
为什么直流继电器要并联二极管呢?
时间:2026-03-06
更换或使用继电器时需要注意哪些事项?
时间:2026-03-06
学习PCB设计需要知道的16个原则
时间:2026-03-06
光伏控制器简介
时间:2026-03-06
PLC现场安装和维护的注意事项介绍
时间:2026-03-06
继电器的工作原理以及驱动电路解析
时间:2026-03-06
三菱PLC功能指令介绍(二)
时间:2026-03-06
三菱PLC辅助继电器和定时器介绍
时间:2026-03-06
HTCC:半导体封装的理想方式
时间:2026-03-06
电阻的标称阻值和允许偏差
时间:2026-03-05
使用过滤器电容器和诱导器来抑制受辐射的EM...
时间:2026-03-05
漆膜电容器的结构与特点
时间:2026-03-05
玻璃釉电容器的结构与特点
时间:2026-03-05
关于STM32WL LSE 添加反馈电阻后无法起振的...
时间:2026-03-05
Vishay精密无磁薄膜片式电阻以小尺寸实现6W...
时间:2026-03-05
LED固晶机龙头直面“寒冬”
时间:2026-03-05
高频旁路电容的原理_高频旁路电容的作用
时间:2026-03-05
详细的领略一次什么是独石电容
时间:2026-03-05
电力电容器的故障维修
时间:2026-03-05