不计一次、二次绕组的电阻和铁耗,
其间耦合系数 K=1 的变压器称之为理想变压器
描述理想变压器的电动势平衡方程式为
e1(t) = -N1 d φ/dt
e2(t) = -N2 d φ/dt
若一次、二次绕组的电压、电动势的瞬时值均按正弦规律变化,
则有

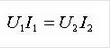
不计铁心损失,根据能量守恒原理可得

由此得出一次、二次绕组电压和电流有效值的关系

令 K=N1/N2,称为匝比(亦称电压比),则
图4则是利用C3、C4制造一个人为的“中性点”,而让MR9830的2脚输出的高频电压经T的初级绕组到此“中性点”形成回路。经实际测试发现:图3输出的电压波形销差,而图4输出的波形几乎为标准的方波,说明在图4电路中,MR9830的内部功率开关管处于理想的开关状态,且图4电路热损耗很小,在实测输出功率为40W时能长期稳定工作。小变压器T的次级可用φ1.25mm的漆包线根据需要绕适当的匝数。参考数据是1.5V/匝,可采用E50×70磁芯。

由于该电子变压器输出的是高频电压,所以,电路中T的次级输出只要由一只高频二极管半波整流、滤波后,再由一只三端稳压器稳压便可得到所需的直流电压。
继电器几个典型常用的接线图
时间:2026-03-06
为什么直流继电器要并联二极管呢?
时间:2026-03-06
更换或使用继电器时需要注意哪些事项?
时间:2026-03-06
学习PCB设计需要知道的16个原则
时间:2026-03-06
光伏控制器简介
时间:2026-03-06
PLC现场安装和维护的注意事项介绍
时间:2026-03-06
继电器的工作原理以及驱动电路解析
时间:2026-03-06
三菱PLC功能指令介绍(二)
时间:2026-03-06
三菱PLC辅助继电器和定时器介绍
时间:2026-03-06
HTCC:半导体封装的理想方式
时间:2026-03-06
电阻的标称阻值和允许偏差
时间:2026-03-05
使用过滤器电容器和诱导器来抑制受辐射的EM...
时间:2026-03-05
漆膜电容器的结构与特点
时间:2026-03-05
玻璃釉电容器的结构与特点
时间:2026-03-05
关于STM32WL LSE 添加反馈电阻后无法起振的...
时间:2026-03-05
Vishay精密无磁薄膜片式电阻以小尺寸实现6W...
时间:2026-03-05
LED固晶机龙头直面“寒冬”
时间:2026-03-05
高频旁路电容的原理_高频旁路电容的作用
时间:2026-03-05
详细的领略一次什么是独石电容
时间:2026-03-05
电力电容器的故障维修
时间:2026-03-05