在介绍SPICE基础知识时介绍了最复杂和重要的电路描述语句,其中就包括元器件描述语句。许多元器件(如二极管、晶体管等)的描述语句中都有模型关键字,而电阻、电容、电源等的描述语句中也有模型名可选项,这些都要求后面配以.MODEL起始的模型描述语句,对这些特殊器件的参数做详细描述。电阻、电容、电源等的模型描述语句语句比较简单,也比较容易理解,在SPICE基础中已介绍,就不再重复了;二极管、双极型晶体管的模型虽也做了些介绍,但不够详细,是本文介绍的重点,以便可以自己制作器件模型;场效应管、数字器件的模型过于复杂,太专业,一般用户自己难以制作模型,只做简单介绍。
元器件的模型非常重要,是影响分析精度的重要因素之一。但模型中涉及太多图表,特别是很多数学公式,都是在WORD下编辑后再转为JEPG图像文件的,很繁琐和耗时,所以只能介绍重点。
一、二极管模型:
1.1 理想二极管的I-V特性:


1.2 实际硅二极管的I-V特性曲线:折线

1.3 DC大信号模型:


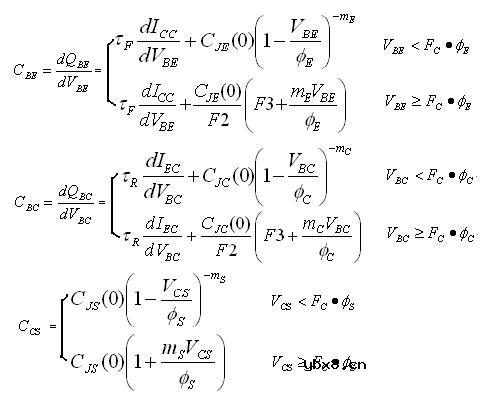
1.4 电荷存储特性:

1.5 大信号模型的电荷存储参数Qd:

1.6 温度模型:

1.7 二极管模型参数表:

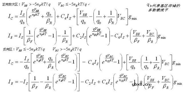
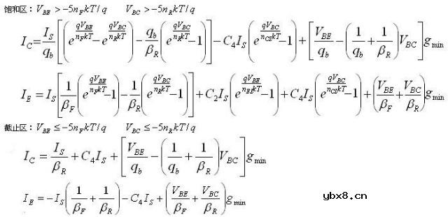
二、双极型晶体管BJT模型:
2.1 Ebers-Moll静态模型:电流注入模式和传输模式两种

2.1.1 电流注入模式:

2.1.2 传输模式:

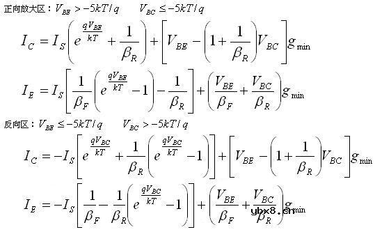
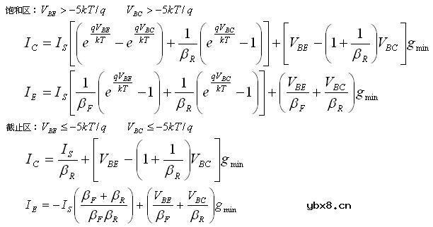
2.1.3 在不同的工作区域,极电流Ic Ie的工作范围不同,电流方程也各不相同:


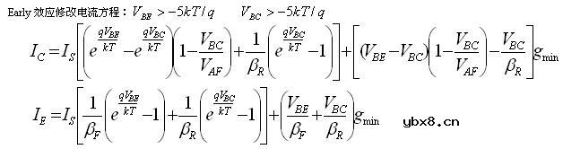
2.1.4 Early效应:基区宽度调制效应


2.1.5 带Rc、Re、Rb的传输静态模型:

正向参数和反向参数是相对的,基极接法不变,而发射极和集电极互换所对应的两种状态,分别称为正向状态和反向状态,与此对应的参数就分别定义为正向参数和反向参数。
2.2 Ebers-Moll大信号模型:


2.3 Gummel-Pool静态模型:



2.4 Gummel-Pool大信号模型:拓扑结构与Ebers-Moll大信号模型相同,非线性存储元件电压控制电容的方程也相同


2.5 BJT晶体管模型总参数表:

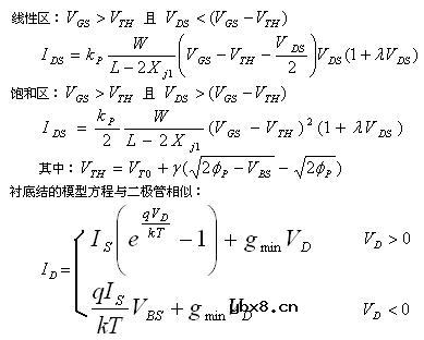
三、 金属氧化物半导体晶体管MOSFET模型:
3.1 一级静态模型:Shichman-Hodges模型



3.2 二级静态模型(大信号模型):Meyer模型

3.2.1 电荷存储效应:


3.2.2 PN结电容:

3.3 三级静态模型:

3.2 MOSFET模型参数表:
一级模型理论上复杂,有效参数少,用于精度不高场合,迅速粗略估计电路
二级模型可使用复杂程度不同的模型,计算较多,常常不能收敛
三级模型精度与二级模型相同,计算时间和重复次数少,某些参数计算比较复杂
四级模型BSIM,适用于短沟道(<3um)的分析,Berkley在1987年提出

四、结型场效应晶体管JFET模型:基于Shichman-Hodges模型
4.1 N沟道JFET静态模型:

4.2 JFET大信号模型:

4.3 JFET模型参数表:

五、 GaAs MESFET模型:分两级模型(肖特基结作栅极)

GaAs MESFET模型参数表:

六、 数字器件模型:
6.1 标准门的模型语句: .MODEL <(model)name> UGATE [模型参数]
标准门的延迟参数:

6.2 三态门的模型语句: .MODEL <(model)name> UTGATE [模型参数]
三态门的延迟参数:

6.3 边沿触发器的模型语句: .MODEL <(model)name> UEFF [模型参数]
边沿触发器参数:
JKFF nff preb,clrb,clkb,j*,k*,g*,gb* JK触发器,后沿触发
DFF nff preb,clrb,clk,d*,g*,gb* D触发器,前沿触发
边沿触发器时间参数:

6.4 钟控触发器的模型语句: .MODEL <(model)name> UGFF [模型参数]
钟控触发器参数:
SRFF nff preb,clrb,gate,s*,r*,q*,qb* SR触发器,时钟高电平触发
DLTCH nff preb,clrb,gate,d*,g*,gb* D触发器,时钟高电平触发
钟控触发器时间参数:

6.5 可编程逻辑阵列器件的语句:
U
+<(timing model)name> <(io_model)name> [FILE=<(file name) text value>]
+[DATA=
+[IOLEVEL=<(interface model level)value>]
其中:

<(file name) text value> JEDEC格式文件的名称,含有阵列特定的编程数据
JEDEC文件指定时,DATA语句数据可忽略
PLD时间模型参数:

七、 数字I/O接口子电路:数字电路与模拟电路连接的界面节点,SPICE自动插入此子电路
子电路名(AtoDn和DtoAn)在I/O模型中定义,实现逻辑状态与电压、阻抗之间的转换。
7.1 N模型:数字输入N模型将逻辑状态(1 0 X Z)转换成相对应的电压、阻抗。

数字模拟器的N模型语句:
N
+DGTLNET=<(digital net)name> <(digital IO model)name> [IS=(initial state)]
数字文件的N模型语句:
N
+[SIGNAME=<(digital signal)name> [IS=(initial state)]
模型语句: .MODEL <(model)name> DINPUT [(模型参数)]
模型参数表:

7.2 O模型:将模拟电压转换为逻辑状态(1 0 X Z),形成逻辑器件的输入级。

节点状态由接口节点和参考节点之间的电压值决定,将该电压值与当前电压序列进行比较,如果落在当前电压序列中,则新状态与原状态相同;如果不在当前电压序列中,则从S0NAME开始检查,第一个含有该电压值的电压序列可确定为新状态。如果没有电压序列包含这个电压值,则新状态为?(状态未知)。
数字模拟器的O模型语句:
O
+DGTLNET=<(digital net)name> <(digital IO model)name>
数字文件的O模型语句:
O
+[SIGNAME=<(digital signal)name>
模型语句: .MODEL <(model)name> DOUTPUT [(模型参数)]
模型参数表:

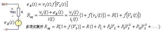
八、 数学宏模型:作为电路功能块或实验仪器插入电路系统中,代替或模拟电路系统的部分功能,有24种
8.1 电压加法器:

8.2 电压乘法器:

8.3 电压除法器:

8.4 电压平方:基本运算方程:

8.5 理想变压器:

8.6 电压求平方根:方程

8.7 三角波/正弦波转换器:三角波峰-峰值为2V,其中C=PI/2

8.8 电压相移:

8.9 电压积分器:

8.10 电压微分器:

8.11 电压绝对值:(略)
8.12 电压峰值探测器:(略)
8.13 频率乘法器:

8.14 频率除法器:

8.15 频率加法器/减法器:

8.16 相位探测器:

8.17 传输线:模拟信号延迟(略)
8.18 施密特触发器:

为避免不收敛,不使用DC扫描,将模型中加入PWL源,产生缓变上升/下降斜波,与瞬态分析效果相同
8.19 电压取样-保持电路:(略)
8.20 脉冲宽度调制器:(略)
8.21 电压幅度调制器:(略)
8.22 电压对数放大器:(略)
8.23 N次根提取电路:

8.24 拉氏变换:(略)
九、系统方程宏模型:可作为功能块代替某些未知的电路或不需要分析的电路,插入电路中,使电路系统的分析变得简单明了。
9.1 积分器子电路:作为求解微分方程组的基本运算部件,可在10MHz下工作

子电路描述文件:
* Integrator Subcircuit
. Subckt int 1 2
Gi 0 2 1 0 1u
Ci 2 0 1uf
Ro 2 0 1000MEG
.ENDS INT
9.2 电感型微分电路:受控源G的控制电压为Vin,输出电流i

9.3 电容型微分电路:

9.4 网络函数的SPICE模型:高阶网络函数可分解为几个较简单的一阶、二阶函数,用级联和耦合结构来实现


十、非线性器件的模型:
10.1 电容型传感器:检测元件是非线性电容

10.2 光敏电阻:时变电阻

10.3 变容二极管:压控电容
东芝牌RAC-45NHE型空调机电路图
时间:2026-03-04
杜鹃牌XPB2-3型洗衣机电路图
时间:2026-03-04
干衣机电路图
时间:2026-03-04
古桥牌KC-30DE型牌窗式空调机电路图
时间:2026-03-04
好乐牌KC-42R型窗式空调机电路图
时间:2026-03-04
佳乐牌KCS-12型窗式空调机电路图
时间:2026-03-04
江南牌KC-20型窗式空调器电路图
时间:2026-03-04
江南牌KCD-31型窗式空调器电路图
时间:2026-03-04
金羚牌XQB30-5型全自动洗衣机电路图
时间:2026-03-04
日产AW B310B型洗衣机控制器电路图
时间:2026-03-04
瞬间抑制二极管(TVS)/瞬间抑制二极管(TVS)是...
时间:2026-03-04
常用整流二极管型号大全
时间:2026-03-04
S/HS固态继电器原理简介
时间:2026-03-04
稳压二极管的选用和代换
时间:2026-03-04
TVS器件的电特性有哪些
时间:2026-03-04
TVS二极管的分类/应用,TVS二极管的特点/选用...
时间:2026-03-04
快恢复二极管,快恢复二极管是什么意思
时间:2026-03-04
PN结温度传感器工作原理是什么?
时间:2026-03-04
双向二极管起什么作用?
时间:2026-03-04
集电极开路(OC)/漏极开路(OD)输出的结构
时间:2026-03-04