光电编码器原理结构图
增量式光电旋转编码器
所谓编码器即是将某种物理量转换为数字格式的装置。运动控制系统中的编码器的作用是将位置和角度等参数转换为数字量。可采用电接触、磁效应、电容效应和光电转换等机理,形成各种类型的编码器。运动控制系统中最常见的编码器是光电编码器。
光电编码器根据其用途的不同分为旋转光电编码器和直线光电编码器,分别用于测量旋转角度和直线尺寸。光电编码器的关键部件是光电编码装置,在旋转光电编码器中是圆形的码盘(codewheel或codedisk),而在直线光电编码器中则是直尺形的码尺(codestrip)。码盘和码尺根据用途和成本的需要,可由金属、玻璃和聚合物等材料制作,其原理都是在运动过程中产生代表运动位置的数字化的光学信号。



望远镜的轴角位置指示

图 3.17 一个八位编码器的(a)码盘和(b)编码器的工作原理图
近代工业已经为望远镜的轴角系统提供了一系列的轴角位置指示装置。这些装置包括光电编码器,圆感应同步器以及光栅刻尺。
(1)光电编码器
光电编码器是一种二进制光电位置指示器,其基本原理是由不同等分的明暗相间的条纹,通过光电元件取得角度位置的二进制数字信号,最后进行解码取得角度位置的绝对值或相对值。绝对编码器的码形总是唯一的,这种码形给出了长度或角度的位置。光电编码器由光源,码盘和光电接收器所组成。码盘是编码器中的最重要的器件。图3.17是一个八位编码器的码盘和编码器的工作原理图。这里的码盘是一种自然码盘。绝对编码器的码形有多种形式。一种叫做格瑞码 的码盘特别适用于光学编码器(见图3.18(a))。这种码盘每进一格仅改变一个数码,不易产生错码现象。


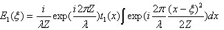
图 3.19 增量编码器码盘脉冲信息细分的工作原理,图中z表示零位 光电编码器的另一类是增量编码器。增量编码器的码盘如图3.18(b)所示。它的码盘是由明暗相间的条纹所构成。一般来讲同样分辨精度的增量编码器要比绝对编码器便宜得多。增量编码器还有一些提高分辨精度的方法。通常增量光栅码盘有四个刻道,其中两个是明暗相间的条纹码,另外两个是电源亮度指示码。这两个条纹码之间相互错开,这样这种码盘的编码器就不但可以给出码盘运动的角度和大小,而且可以给出码盘运动的方向。同时当光栅码盘的方波脉冲信息输入到顺时针 和逆时针 的增减计数器中时,这种两个条纹码的方波信息就可以分解为一倍、两倍或四倍的精细信号以提高编码器的分辨本领。如果光栅码盘的质量好,这种精细的四倍的信号可以精确到每一个信号脉冲的二分之一。








图 3.22 增量编码器的两种调制子光栅的光栅具体尺寸(leki,1999)
现代光栅技术结合 的本身的精度也可以极大地提高光电编码器的精度。一个16位的增量编码器,如在其码盘上加上16位的绝对码图案,通过 使增量码两相邻条纹同时成像,则 会给出码盘的精确位置,以至于获得24位以上的绝对编码器的精度,这是十分重要的技术进展。
(2)圆感应同步器
另一种类似的轴角编码装置是圆感应同步器。与光电编码器不同,圆感应同步器是一种模拟装置。各个数值的变化是连续的,而不是跳动式的。圆感应同步器的基本原理如图3.23所示,它由定子和动子所组成。它的动子只有一个线圈,而在它的定子上,有 个线圈构成 个极。它的每一个线圈之间的夹角是 度。当在动子中输入交流电压 ,并且动子轴线和定子的零点偏离一定角度 时,则在定子上的各个线圈内就会产生不同量的电流。如图3.24中所示,有:

图3.23 圆感应同步器的基本原理


图3.24 圆感应同步器定子上的各个线圈内的输出电压
式中
利用圆感应同步器这一特性,就可以用来测定微小角度的变化。在使用圆感应同步器时为了测定角度的绝对位置,还要加上一个粗码盘。比较光电编码器,圆感应同步器有如下几个好处:(a)线圈动定盘比较便宜,(b)对环境要求较低,可以用于温度变化和有振动的场合。
(3)编码器的应用和其它角度测定方法
应用光电编码器在控制回路中要采用数模转换装置,而圆感应同步器可以直接用于同步驱动的控制。不过它们两种都能实现轴角位置的绝对指示或者增量指示。它们的位置精度高,误差的重复性能好,只是高位数的指示器价格较高。光栅带尺加摩尔条纹的轴角指示方法是近年新发展起来的,这种方法特别适用于大口径的望远镜。这种光栅带尺的精度约小于1微米,一般是均匀地粘贴在大型驱动轮的边缘,并通过摩尔条纹给出高达 的分辨精度。光栅带尺的缺点是不能保证全部条纹的一致性,这需要在计算机控制中使用列表法予以校正。在望远镜中光栅带尺常用于位置的绝对定标。
望远镜绝对定位精度是为了准确导星、定位的需要,而增量定位则是为了精确导星的要求。因此增量编码器要求有较高的分辨精度。绝对编码器可以直接与望远镜传动轴连接,这时位置指示没有其它的误差因素。但是有的时候由于编码器的位数较低或者望远镜传动轴需要通过光线,也可以将编码器装置在第一级齿轮付上。这时编码器的分辨精度得到放大,但同时齿轮的误差也将影响角度绝对值显示的精度。这一误差对绝对位置定标有很大的影响。但是近年来有不少望远镜采用了分辨精度高的增量放大指示装置,而使用别的重复性极好的装置,如高灵敏度的水平仪或者特别的光栅刻线来提供轴角位置的绝对零点,这样就不再需要昂贵的绝对编码器了。在一些较新的望远镜中还有利用精密电磁开关来作为轴角绝对位置的编码,这种电磁开关的重复性精度约为1微米。在这种设计中每隔10或者15度就安装一个精密电磁开关。在每一个精密电磁开关之间,使用增量编码器,甚至可以使用磨擦面来带动一个低位的增量编码器。这种设计要比较其它设计成本更低。各种编码器都要进行正确的安装,才能发挥其分辩精度。当编码器和轴连接时,最重要的就是要避免在编码器轴上施加任何力和力矩。因此编码器的联轴器应该在轴向和径向上强度比较低,而在圆周方向上强度很高。
对于新型的六杆平台式的望远镜,有的还安装了一种叫光纤谐振陀螺仪的测角装置。一种光纤谐振陀螺仪总共包括三个光纤回路。从频宽很小的激光二极管向一根光纤的一端发出一束光,同时这一光纤的末端绕回到起始端并与起始端处的光纤通过一个光藕合器藕合,形成一个在两个方向上都有光线通过的回路。在这个回路的中部,又有另一个光藕合器使得第一个回路和第二个光纤环实现藕合。同时在第二个光纤环中的对面又有第三个光藕合器以实现第二光纤环和第三光纤回路的藕合。第三光纤回路是一个开环回路,两端和探测器相连。这种系统中如果所有的回路和藕合器均为固定的并且在第二个光纤回路中两个藕合器正好位于回路的对称点上,它就会对一个特定的波长的光产生谐振。而当第二个回路相对于第一个回路有一个很小的转角时,在第二个回路中会在一个方向上的光路增加,而在另一个方向上的光路减少,因此新的系统会在两个不同的频率上产生谐振。比较原有的谐振频率,其中一个频率要大些,另一个则小些。测量谐振频率的变化就可以来了解角度的变化,以达到角度测量的目的。
更多编码器知识请访问http://www.elecfans.com/zhuanti/20111111242149.html
东芝牌RAC-45NHE型空调机电路图
时间:2026-03-04
杜鹃牌XPB2-3型洗衣机电路图
时间:2026-03-04
干衣机电路图
时间:2026-03-04
古桥牌KC-30DE型牌窗式空调机电路图
时间:2026-03-04
好乐牌KC-42R型窗式空调机电路图
时间:2026-03-04
佳乐牌KCS-12型窗式空调机电路图
时间:2026-03-04
江南牌KC-20型窗式空调器电路图
时间:2026-03-04
江南牌KCD-31型窗式空调器电路图
时间:2026-03-04
金羚牌XQB30-5型全自动洗衣机电路图
时间:2026-03-04
日产AW B310B型洗衣机控制器电路图
时间:2026-03-04
瞬间抑制二极管(TVS)/瞬间抑制二极管(TVS)是...
时间:2026-03-04
常用整流二极管型号大全
时间:2026-03-04
S/HS固态继电器原理简介
时间:2026-03-04
稳压二极管的选用和代换
时间:2026-03-04
TVS器件的电特性有哪些
时间:2026-03-04
TVS二极管的分类/应用,TVS二极管的特点/选用...
时间:2026-03-04
快恢复二极管,快恢复二极管是什么意思
时间:2026-03-04
PN结温度传感器工作原理是什么?
时间:2026-03-04
双向二极管起什么作用?
时间:2026-03-04
半导体材料的主要种类有哪些?
时间:2026-03-04