半导体三极管的参数有哪些?
半导体三极管的极限参数介绍
各种电子元器件都有一个使用极限值要求,对于半导体三极管来讲,它的主要极限参数有以下几个。
(1)集电极最大允许电流ICM
半导体三极管允许通过的最大电流即为ICM。当集电极电流IC增大到一定程度时,β值便会明显下降,这时三极管不至于烧坏,但已不宜使用。因此,规定尸值下降到额定值的2/3时所对应的集电极电流为集电极最大电流ICM。
(2)集电极最大允许耗散功率PCM
集电极耗散功率实际上是集电极电流IC和集电极电压UCE的乘积。在使用三极管时,实际功耗不允许超过PcM,还应留有较大的余量。耗散功率会引起三极管发热,使结温升高。如果集电极的耗散功率过大,将会使集电结的温度超过允许值而被烧坏。为了提高PCM的数值,大功率三极管都要求加装散热片,此时手册中给出的大功率三极管的PCM是指带有散热片时的数值。
(3)集电极一发射极反向击穿电压BVceo(Vceo)
BVceo是指三极管基极开路时,加在集电极C和发射极E之间的最大允许电压。使用不当时,则会导致三极管击穿而损坏。
(4)集电极一基极反向击穿电压BVcbo(Vcbo)
BVcbo是指三极管发射极开路时,集电结的反向最大电压。使用时,集电极与基极间的反向电压不允许超过此值的规定。
(5)发射极一基极反向击穿电压BVebo(Vebo)
BVebo是指三极管集电极开路时,发射结的反向最大电压。使用时,发射结承受的反向电压不应超过此值的规定。
半导体三极管的参数
半导体三极管的参数分为直流参数、交流参数和极限参数三大类。
(1) 直流参数
1)直流电流放大系数

在放大区基本不变。在共发射极输出特性曲线上,通过垂直于X轴的直线(vCE=const)来求取IC / IB ,如图3所示。在IC较小时和IC较大时,会有所减小,这一关系见图4。


2)极间反向电流
①集电极-基极间反向饱和电流ICBO
ICBO的下标CB代表集电极和基极,O是Open的字头,代表第三个电极E开路。它相当于集电结的反向饱和电流。
②集电极-发射极间的反向饱和电流ICEO
ICEO和ICBO有如下关系:

相当基极开路时,集电极和发射极间的反向饱和电流,即输出特性曲线IB=0那条曲线所对应的Y坐标的数值,如图5所示。
![]()

(2) 交流参数
1)交流电流放大系数
①共发射极交流电流放大系数β
![]()
在放大区,β值基本不变,可在共射接法输出特性曲线上,通过垂直于X轴的直线求取△IC/△IB。或在图02.08上通过求某一点的斜率得到β。具体方法如图6所示

2)特征频率fT
三极管的β值不仅与工作电流有关,而且与工作频率有关。由于结电容的影响,当信号频率增加时,三极管的β将会下降。当β下降到1时所对应的频率称为特征频率,用fT表示。
(3) 极限参数
1)集电极最大允许电流ICM
如图02.08所示,当集电极电流增加时,β 就要下降,当β值下降到线性放大区β值的70~30%时,所对应的集电极电流称为集电极最大允许电流ICM。至于β值下降多少,不同型号的三极管,不同的厂家的规定有所差别。可见,当IC>ICM时,并不表示三极管会损坏。
2)集电极最大允许功率损耗PCM
集电极电流通过集电结时所产生的功耗, PCM= ICVCB≈ICVCE,因发射结正偏,呈低阻,所以功耗主要集中在集电结上。在计算时往往用VCE取代VCB。
3)反向击穿电压
反向击穿电压表示三极管电极间承受反向电压的能力,其测试时的原理电路如图7所示。

①V(BR)CBO--发射极开路时的集电结击穿电压。下标BR代表击穿之意,是Breakdown的字头,C、B代表集电极和基极,O代表第三个电极E开路。
②V(BR)EBO--集电极开路时发射结的击穿电压。
③V(BR)CEO--基极开路时集电极和发射极间的击穿电压。
对于V(BR)CER表示BE间接有电阻,V(BR)CES表示BE间是短路的。几个击穿电压在大小上有如下关系:
V(BR)CBO≈V(BR)CES>V(BR)CER>V(BR)CEO>V(BR)EBO
由最大集电极功率损耗PCM、ICM和击穿电压V(BR)CEO,在输出特性曲线上还可以确定过损耗区、过电流区和击穿区,见图8。

半导体三极管的技术参数
半导体三极管除了特性曲线可以表示其特性外,还要用一些技术参数,而且两者可以互相补充,以利于合理地选用半导体三极管。在半导体三极管手册中可以看到以下一些常用的主要技术参数。
1.共发射极电流放大系数β
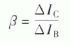
在共发射极电路中,在一定的集电极电压UCE下,集电极电流变化量△IC与基极电流变化量△IB,的比值称为电流放大系数β,即
![]()
由于β反映了变化量之比,在放大电路中变化量实际上是交流信号,因此把β值称为共发射极交流电流放大系数hFE 。有时手册中会给出直流电流放大系数hFE , 它是集电极直流电流IC与基极直流电流IB之比,即

β值的标志方法有两种,即色标法和字母法。色标法使用得较早,通常将颜色涂在三极管的顶部,用不同的颜色来表示管子β值的大小。国产小功率管色标颜色与β值的对应关系如表15-3 所示。

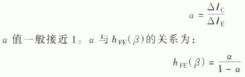
2. 共基极电流放大系数α
在共基极电路中,在一定的集电极与基极电压UCB下,集电极电流的变化量△IC与发射极电流变化量△IE的比值称为电流放大系数α ,即

3. 半导体三极管的频率特性参数
半导体三极管用于交流放大时,电流放大系数与频率有关。当三极管工作频率较低时,hFE值变化不大,但三极管用于高频电路时,电流放大系数将会随着工作频率的升高而不断减小,这时就需要考虑频率特性参数了。频率特性参数主要有以下几个。
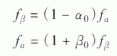
( 1 )共基极截止频率fa
共基极截止频率又叫α 截止频率。在共基极电路中,电流放大系数α 值在工作频率较低时基本上为一常数。当工作频率f>fa以后,电流放大系数α 随频率的升高而下降,当α值下降到αo(共基极放大器最低频率时的电流放大系数)的
![]()
(2) 共发射极截止频率fβ
共发射极截止频率又称β截止频率。它与fa的定义相似,在共发射极电路里,电流放大系数β值在降低到βo的
![]()

在实际工作中,工作频率f 等于fa或fβ时,并不等于半导体三极管就截止不工作了,它仍有相当的工作能力。其规律是f=fa或f=fβ时, α= 0.707αo或β= 0.707βo;当f=fa或f=fβ时, α= 0.5αo或β= 0.5βo。但在电路设计中选用三极管时,若电路的工作频率较高,应尽量选用fa 或fβ值大的三极管。
(3)特征频率fT
当工作频率超过截止频率fβ以后,β值开始下降,当β值下降为1时,所对应的频率叫做特征频率fT如图15-7 所示。
当工作频率f =fT时,半导体三极管就完全失去了电流放大功能。由于f·β=常数,有时称fT为增益带宽乘积。例如:在频率为5MHz 时,测得某三极管的β值为6 ,则该三极管的特征频率fT为
![]()
(4) 最高振荡频率fM
最高振荡频率的定义为:当半导体三极管的功率增益等于1时的频率称为半导体三极管的最高振荡频率fM。当工作频率大于fM时,三极管不能得到功率放大;当工作频率低于fM时,三极管可获得功率放大。可见fM 是半导体三极管的一个重要参数。在一般情况下,要使三极管工作稳定,又有一定的功放作用,三极管的实际工作频率应为(1/3 - 1/4)fM 。
4 半导体三极管极间的反向电流
半导体三极管极间的反向电流指的是集电极一基极间反向电流ICBO 和集电极一发射极间反向电流ICEO。ICEO使用得较多,它是指三极管基极开路时,集电极C和发射极E之间的反向电流,又称为穿透电流或反向击穿电流。小功率错三极管的ICEO 较大,通常在500μA 以下,硅三极管的ICEO都很小,通常在1μA 以下,同一个三极管的ICEO比ICBO大得多,且随温度的升高而急剧增加,因此这个参数是衡量三极管稳定性好坏的重要参数之一。
5. 半导体三极管的极限参数
各种电子元器件都有一个使用极限值要求,对于半导体三极管来讲,它的主要极限参数有以下几个。
(1)集电极最大允许电流ICM
半导体三极管允许通过的最大电流即为ICM 。当集电极电流IC增大到一定程度时,β值便会明显下降,这时三极管不至于烧坏,但已不宜使用。因此,规定β值下降到额定值的2/3 时所对应的集电极电流为集电极最大电流ICM。
(2) 集电极最大允许耗散功率PCM
集电极耗散功率实际上是集电极电流IC和集电极电压UCE的乘积。在使用三极管时,实际功耗不允许超过PCM还应留有较大的余量。耗散功率会引起三极管发热,使结温升高。如果集电极的耗散功率过大,将会使集电结的温度超过允许值而被烧坏。为了提高PCM的数值,大功率三极管都要求加装散热片,此时手册中给出的大功率三极管的PCM是指带有散热片时的数值。
(3)集电极一发射极反向击穿电压BVCEO ( VCEO )
BVCEO是指三极管基极开路时,加在集电极C 和发射极E 之间的最大允许电压。使用时,若|VCE| > BVCEO。则会导致三极管击穿而损坏。
(4) 集电极一基极反向击穿电压BVCBO ( VCBO )
BVCBO是指三极管发射极开路时,集电结的反向最大电压。使用时,集电极与基极间的反向电压不允许超过此值的规定。
(5) 发射极基极反向击穿电压BVCEO( VCEO)
BVEBO是指三极管集电极开路时,发射结的反向最大电压。使用时,发射结承受的反向电压不应超过此值的规定.
东芝牌RAC-45NHE型空调机电路图
时间:2026-03-04
杜鹃牌XPB2-3型洗衣机电路图
时间:2026-03-04
干衣机电路图
时间:2026-03-04
古桥牌KC-30DE型牌窗式空调机电路图
时间:2026-03-04
好乐牌KC-42R型窗式空调机电路图
时间:2026-03-04
佳乐牌KCS-12型窗式空调机电路图
时间:2026-03-04
江南牌KC-20型窗式空调器电路图
时间:2026-03-04
江南牌KCD-31型窗式空调器电路图
时间:2026-03-04
金羚牌XQB30-5型全自动洗衣机电路图
时间:2026-03-04
日产AW B310B型洗衣机控制器电路图
时间:2026-03-04
瞬间抑制二极管(TVS)/瞬间抑制二极管(TVS)是...
时间:2026-03-04
常用整流二极管型号大全
时间:2026-03-04
S/HS固态继电器原理简介
时间:2026-03-04
稳压二极管的选用和代换
时间:2026-03-04
TVS器件的电特性有哪些
时间:2026-03-04
TVS二极管的分类/应用,TVS二极管的特点/选用...
时间:2026-03-04
快恢复二极管,快恢复二极管是什么意思
时间:2026-03-04
PN结温度传感器工作原理是什么?
时间:2026-03-04
双向二极管起什么作用?
时间:2026-03-04
半导体材料的主要种类有哪些?
时间:2026-03-04