电力晶体管的原理和特点是什么?
结构
电力晶体管(GiantTransistor)简称GTR,结构和工作原理都和小功率晶体管非常相似。GTR由三层半导体、两个PN结组成。和小功率三极管一样,有PNP和NPN两种类型,GTR通常多用NPN结构。
工作原理
在电力电子技术中,GTR主要工作在开关状态。GTR通常工作在正偏(Ib>0)时大电流导通;反偏(Ib<0=时处于截止状态。因此,给GTR的基极施加幅度足够大的脉冲驱动信号,它将工作于导通和截止的开关状态。
0 引 言
大功率晶体管(GTR)是第二代功率半导体器件,它克服了晶闸管不能自关断与开关速度慢的缺点,简化了变频传动和其它带逆变环节的交流器的换相,降低了体积,且可节能,是电力电子装置的关键器件,广泛地应用于载波器、稳压电源以及交直流电机调速领域。然而GTR比较娇嫩,容易损坏,不能承受超过其额定值的浪涌电压与电流的冲击,即使时间很短(微秒级)也可能对它造成损坏,用快速熔断器或快速断路器是不能对其保护的。
在电力电子装置中,GTR实际上是一个静止式的无触点开关,它的通断受基极驱动电流的控制。作为开关器件,存在着开通时间ton与关断时间toff,相应地存在着开通损耗与关断损耗。一般认为,GTR损坏的主要原因之一是GTR退出了饱和区,进入了放大区,使得开关损耗太大。减小GTR的开关损耗就是要提高工作频率,降低结温,扩大安全工作区,提高性能指标。
GTR应用的关键技术是如何成功地对GTR进行保护,它直接决定着变频器和逆变器质量的优劣。鉴于在主电路中通过设置霍尔元件检测故障电流来实现短路保护,比在驱动电路中设置自保护响应慢些,一般是在驱动电路中实现对GTR的自保护。因此,设计性能良好的驱动电路是GTR安全可靠运行的重要保障。
1 基极驱动电路设计原则
1.1 驱动问题
驱动的作用是使GTR可靠的开通与关断,设计基极驱动电路时应考虑采用基极优化驱动方案。所谓优化驱动,就是以理想的基极驱动电流波形去控制GTR的开关过程,如图1所示。

c.关断时,驱动电路能为GTR基极—射极间提供一反向电流,以迅速抽取基区存储电荷,减小toff。关断初始电流Ib3一般为Ib1的2~3倍,Ib3太22大则会产生基极电流的尾部效应,反而增加关断损耗,不利于GTR的关断,使其反向安全工作区减小,一般为正向驱动电流的2倍值或相等。由外施偏置形成此反向抽取电流时,其供电电压必须限制在GTR的UEBO以下,但要加足以防止GTR的反向导电。
为了获取上述优良的驱动特性,我们常采用以下一些措施:
1.1.1 用加速电容以减小三极管的开通与关断时间。如图2为采用加速电容的驱动电路原理图。正向驱动时,C将R1短路,可以给GTR提供峰值较大的初始强驱动电流为:
(1)

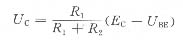
随着C充电的逐渐增加,驱动电流iB也越来越小,C充满电时,GTR正常导通,此时,基极电流为:
IB=(E-UBE)/(R1+R2)(2)
上式IB的值应大于IC/β,才能保证GTR处于饱和状态,β为GTR的直流放大倍数。
电路达到稳态时,C上电压值为:
![]()
UD1=UA-UCE=UF+UBE-UCB(5)
在GTR的放大区,集电极电压UCE很高,UD1为负,二极管D1不工作,当GTR进入临界饱和区,则:

这个电路的缺点是:由于引入了电位抬高二极管,B点信号与A点相比有一定的延时。改进后的贝克钳位电路如图4所示。图4中T1,T2是驱动电路的功放级,由于它们工作在射极输出状态,使从A点到B点的信号失真很少,也保障了足够大的驱动电流。与此同时,T1的基射压降将A点电位抬高,代替了图3中二极管D2的作用,它与溢流二极管D1协同使GTR工作在临界饱和状态,反向抽取基极电流流过T2。
从上述分析可知,这2种电路具有减少ts,降低GTR基极损耗的优点。贝克钳位电路仅利用了二极管这一电子元件给GTR的开关性能带来了许多改善,二极管的合理选取,关系到贝克钳位电路能否正常工作,以下是供电路设计者参考的准则:

b.减短导线长度,尽量平和走线,把电流一进一出的导线绞在一起。
东芝牌RAC-45NHE型空调机电路图
时间:2026-03-04
杜鹃牌XPB2-3型洗衣机电路图
时间:2026-03-04
干衣机电路图
时间:2026-03-04
古桥牌KC-30DE型牌窗式空调机电路图
时间:2026-03-04
好乐牌KC-42R型窗式空调机电路图
时间:2026-03-04
佳乐牌KCS-12型窗式空调机电路图
时间:2026-03-04
江南牌KC-20型窗式空调器电路图
时间:2026-03-04
江南牌KCD-31型窗式空调器电路图
时间:2026-03-04
金羚牌XQB30-5型全自动洗衣机电路图
时间:2026-03-04
日产AW B310B型洗衣机控制器电路图
时间:2026-03-04
瞬间抑制二极管(TVS)/瞬间抑制二极管(TVS)是...
时间:2026-03-04
常用整流二极管型号大全
时间:2026-03-04
S/HS固态继电器原理简介
时间:2026-03-04
稳压二极管的选用和代换
时间:2026-03-04
TVS器件的电特性有哪些
时间:2026-03-04
TVS二极管的分类/应用,TVS二极管的特点/选用...
时间:2026-03-04
快恢复二极管,快恢复二极管是什么意思
时间:2026-03-04
PN结温度传感器工作原理是什么?
时间:2026-03-04
双向二极管起什么作用?
时间:2026-03-04
半导体材料的主要种类有哪些?
时间:2026-03-04