雪崩渡越时间二极管,雪崩渡越时间二极管是什么意思
雪崩二极管,亦称为“碰撞雪崩渡越时间二极管”。是一种在外加电压作用下可以产生超高频振荡的半导体二极管。1958年由美国W.T.里德提出,所以又称里德二极管。这类二极管有各种结构:里德结构(即P NIN )、肖特基结构(M-N-N )高-低-高结构(H-L-H)、双漂移结构(DDR或P PNN )等。所用材料主要有硅和砷化镓。除了PN结雪崩渡越二极管外,由于其工作机理的差别,还有俘获等离子体雪崩触发渡越时间二极管,金属-半导体-金属势垒渡越二极管,隧道雪崩渡越二极管等。雪崩二极管的工作原理是:利用p-n结的雪崩击穿在半导体中注入载流子,这些载流子渡越过晶片流向外电路。由于这一渡越需要一定的时间,因而使电流相对于电压出现一个时间延迟,适当控制渡越时间,在电流和电压的关系上会出现负阻效应,因而能够产生振荡。

雪崩二极管具有功率大、效率高等优点。雪崩渡越二极管及其功率源可达到极高的工作频率,从几百兆赫至300吉赫都可以获得一定的微波功率。特别在毫米波波段,它是现代功率最大的固体器件,可连续波工作或脉冲工作,广泛地使用于雷达、通信、遥控、遥测、仪器仪表中。其缺点是噪声比电子转移器件稍高。用雪崩渡越二极管制成的雪崩振荡器和锁定放大器用于微波通信、雷达、战术导弹。
微波振荡器是在通信、雷达、电子对抗及测试仪器等各种微波系统中被广泛应用的重要部件之一。近年来,随着微波半导体器件的迅速发展,微波固态振荡器也得到迅速发展。
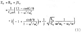
目前已有晶体管振荡器(包括双极晶体管振荡器和场效应管振荡器)、转移电子振荡器(体效应振荡器)、雪崩二极管振荡器和隧道二极管振荡器等多种形式。其中隧道二极管振荡器因输出功率小、稳定性差几乎被淘汰。体效应振荡器和雪崩二极管振荡器发展极为迅速。如雪崩二极管振荡器振荡频率可高达几百吉赫以上;输出功率最大可达几十瓦以上;脉冲峰值功率,如限累二极管振荡器可高达几千瓦;微波三极管振荡器的效率最高,可达50%。各种微波固态振荡器各有不同的特点,可根据要求来选用。在毫米波频段,广泛采用雪崩管振荡器和耿氏管振荡器,与耿氏管相比雪崩管可获得更大的功率和更高的效率。雪崩二极管的雪崩倍增效应和渡越时间效应使得它具有负阻特性,其小信号阻抗ZD为:

式中RD、XD为雪崩管电阻和电抗; Cd、θ为漂移区电容和渡越角; La、Ca是雪崩区电感和电容; ωa是雪崩频率。
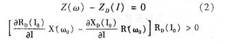
为了产生振荡,二极管的小信号电阻必须为负,而且其绝对值应大于负载电阻。当工作频率ω给定时,这一条件可以通过调节偏流密度从而改变雪崩频率来满足。随着振荡幅度I的增加,由于空间电荷对电场的影响,二极管阻抗发生变化,它是振幅和频率的函数,但由于它通常是频率的慢变化函数,所以在振荡器工作频率范围内,可不考虑频率的影响。当器件阻抗与电路阻抗满足以下条件,振荡器处于稳定振荡状态。

式中Z(ω)为电路阻抗; ZD(I)为雪崩管阻抗;

如果由于外界改变使振荡器的电抗发生变化,为了满足相位平衡,在谐振条件下,由外界因素引起的电抗的变化应该由频率变化所产生的电抗变化来补偿,假定外界的变化为Δα,则
式中R、X为电路电阻和电抗; Q为回路有载品质因数。?由此可见,回路电抗随外界因素变化率越大,频率稳定度越差;回路的有载品质因数越高,则频率稳定度越高。一般来说,雪崩管振荡器的缺点是频率稳定度较差。
东芝牌RAC-45NHE型空调机电路图
时间:2026-03-04
杜鹃牌XPB2-3型洗衣机电路图
时间:2026-03-04
干衣机电路图
时间:2026-03-04
古桥牌KC-30DE型牌窗式空调机电路图
时间:2026-03-04
好乐牌KC-42R型窗式空调机电路图
时间:2026-03-04
佳乐牌KCS-12型窗式空调机电路图
时间:2026-03-04
江南牌KC-20型窗式空调器电路图
时间:2026-03-04
江南牌KCD-31型窗式空调器电路图
时间:2026-03-04
金羚牌XQB30-5型全自动洗衣机电路图
时间:2026-03-04
日产AW B310B型洗衣机控制器电路图
时间:2026-03-04
瞬间抑制二极管(TVS)/瞬间抑制二极管(TVS)是...
时间:2026-03-04
常用整流二极管型号大全
时间:2026-03-04
S/HS固态继电器原理简介
时间:2026-03-04
稳压二极管的选用和代换
时间:2026-03-04
TVS器件的电特性有哪些
时间:2026-03-04
TVS二极管的分类/应用,TVS二极管的特点/选用...
时间:2026-03-04
快恢复二极管,快恢复二极管是什么意思
时间:2026-03-04
PN结温度传感器工作原理是什么?
时间:2026-03-04
双向二极管起什么作用?
时间:2026-03-04
半导体材料的主要种类有哪些?
时间:2026-03-04