基极是什么意思
jījí
[base electrode] 由晶体管基区引出的电极.基极符号为B.
基极是半导体三极管的电极.一只半导体三极管有三个电极.分别是发射极,基极和集电极.半导体管在工作时要加工作电压.于是就产生了各极电流.半导体三极管在工作时发射极电流等于基极和集电极电流之和.其中基极电流最小,发射极电流最大,在基极加一很小的电流,在集电极就能输出很大的电流,因此三极管有放大作用.三极管主要作用是放大信号.常用在放大电路和振荡电路中.

共基极放大电路
三极管是在一块半导体基片上制作两个相距很近的PN结,两个PN结把正块半导体分成三部分,中间部分是基区,两侧部分是发射区和集电区,排列方式有PNP和NPN两种。三极管的结构示意图如图1所示,电路符号如图2所示。

从三个区引出相应的电极,分别为基极b,发射极e和集电极c。发射区和基区之间的PN结叫发射结,集电区和基区之间的PN结叫集电极。
共基极电路:
输入信号电压Vi加在发射极, 信号电压Vo由集电极输出的电路称为共基极电路,如图2.5.4 (a)所示。
画共基极电路的交流通路和等效电路如图2.5.4(b)、(c)所示:


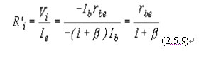
(1)输入电阻
由三极管的发射极向右看的输入电阻

上式表明共基极电路的输入电阻
![]()
![]()
实际上共基极电路的
![]()
放大器的输入电阻
![]()
(2)电流放大倍数

上式中的负号表示定义的电流方向Ie与 实际的电流方向相反。
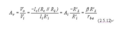
(3) 电压放大倍数Av 和源电压放大倍数Avs
电压放大倍数

将上式与式(2.3.18)进行比较,表明共基极电路的电压 放大倍数与基本的共发射极电路电压放大倍数相同,但输出电压与输入电压同相。
源电压放大倍数

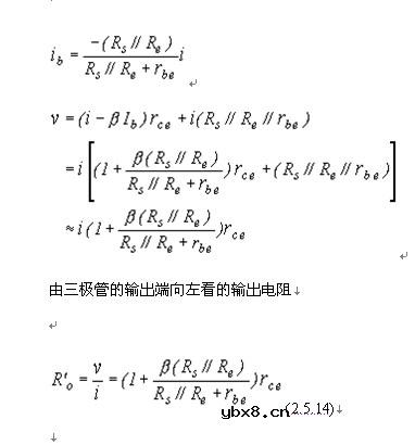
(3)输出电阻
画求输出电阻的等效电路如图2.5.5,忽略的分流作用时,由图可列方程组

图2.5.5 求输出电阻的等效电路

上式表明共基极电路的输出电阻R0比基 本的共发射极电路的输出电阻R0大得多,并与信号源内电Rs有关。
放大器的输出电阻
(2.5.15)
与共发射极电路的输出电阻一样。
东芝牌RAC-45NHE型空调机电路图
时间:2026-03-04
杜鹃牌XPB2-3型洗衣机电路图
时间:2026-03-04
干衣机电路图
时间:2026-03-04
古桥牌KC-30DE型牌窗式空调机电路图
时间:2026-03-04
好乐牌KC-42R型窗式空调机电路图
时间:2026-03-04
佳乐牌KCS-12型窗式空调机电路图
时间:2026-03-04
江南牌KC-20型窗式空调器电路图
时间:2026-03-04
江南牌KCD-31型窗式空调器电路图
时间:2026-03-04
金羚牌XQB30-5型全自动洗衣机电路图
时间:2026-03-04
日产AW B310B型洗衣机控制器电路图
时间:2026-03-04
瞬间抑制二极管(TVS)/瞬间抑制二极管(TVS)是...
时间:2026-03-04
常用整流二极管型号大全
时间:2026-03-04
S/HS固态继电器原理简介
时间:2026-03-04
稳压二极管的选用和代换
时间:2026-03-04
TVS器件的电特性有哪些
时间:2026-03-04
TVS二极管的分类/应用,TVS二极管的特点/选用...
时间:2026-03-04
快恢复二极管,快恢复二极管是什么意思
时间:2026-03-04
PN结温度传感器工作原理是什么?
时间:2026-03-04
双向二极管起什么作用?
时间:2026-03-04
集电极开路(OC)/漏极开路(OD)输出的结构
时间:2026-03-04