当前位置:首页 > 电子元件 > 正文

并联电阻计算公式 并联电阻阻值怎么计算

来源:网络  发布者:电工基础  发布时间:2026-03-05 06:53
  并联电阻的计算公式是怎样的。在电子电路中,当我们按需要把几个已知阻值的电阻并联起来,得到的总电阻阻值是多少?下面我们一起结合具体实例看看并联电阻如何计算:

  并联电阻的计算公式是怎样的。在电子电路中,当我们按需要把几个已知阻值的电阻并联起来,得到的总电阻阻值是多少?下面我们一起结合具体实例看看并联电阻如何计算:

  点击下面的链接,马上去电子发烧友在线工具计算并联电阻:点击此处马上计算并联电阻的阻值!

 

  电阻并联计算公式

  将两个或两个以上的电阻的一端全部连接在点a上,而另一端全部连接在另一b点上,这样的联接叫电阻的并联。将并联电阻的两端接上电源,即组成了电阻并联电路,如图l所示。

  

并联电阻计算公式 并联电阻阻值怎么计算

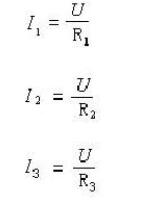
  因为并联电阻两端的电压相同,根据欧姆定律可求出各并联支路的分支电流

  

并联电阻计算公式 并联电阻阻值怎么计算

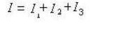
  由于电路中总电流等于各分支电流的和,则

  

并联电阻计算公式 并联电阻阻值怎么计算

  即   

并联电阻计算公式 并联电阻阻值怎么计算

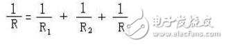
  式中R为并联电路的等值电阻,将上式两端同除以U 则

  

并联电阻计算公式 并联电阻阻值怎么计算

  所以,并联电路中总电阻的阻值,等于各并联电阻的倒数之和。

  如果上述并联电阻阻值均相同 R1 = R2 = R3,则并联电阻总电阻阻值计算公式变成:

  

并联电阻计算公式 并联电阻阻值怎么计算

  上述公式中,为RN为各个支路的电阻阻值;N为并联的支路数。

并联电阻计算公式 并联电阻阻值怎么计算