区块链(blockchain)是眼下的大热门,新闻媒体大量报道,宣称它将创造未来。可是,简单易懂的入门文章却很少。区块链到底是什么,有何特别之处,很少有解释。
需要说明的是,我并非这方面的专家。虽然很早就关注,但是仔细地了解区块链,还是从今年初开始。文中的错误和不准确的地方,欢迎大家指正。
01.区块链的本质
区块链是什么?一句话,它是一种特殊的分布式数据库。
首先,区块链的主要作用是储存信息。任何需要保存的信息,都可以写入区块链,也可以从里面读取,所以它是数据库。
其次,任何人都可以架设服务器,加入区块链网络,成为一个节点。区块链的世界里面,没有中心节点,每个节点都是平等的,都保存着整个数据库。你可以向任何一个节点,写入/读取数据,因为所有节点最后都会同步,保证区块链一致。
02.区块链的最大特点
分布式数据库并非新发明,市场上早有此类产品。但是,区块链有一个革命性特点。
区块链没有管理员,它是彻底无中心的。其他的数据库都有管理员,但是区块链没有。如果有人想对区块链添加审核,也实现不了,因为它的设计目标就是防止出现居于中心地位的管理当局。
正是因为无法管理,区块链才能做到无法被控制。否则一旦大公司大集团控制了管理权,他们就会控制整个平台,其他使用者就都必须听命于他们了。
但是,没有了管理员,人人都可以往里面写入数据,怎么才能保证数据是可信的呢?被坏人改了怎么办?请接着往下读,这就是区块链奇妙的地方。
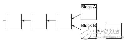
03.区块
区块链由一个个区块(block)组成。区块很像数据库的记录,每次写入数据,就是创建一个区块。
每个区块包含两个部分。
区块头(Head):记录当前区块的元信息
区块体(Body):实际数据
区块头包含了当前区块的多项元信息。
生成时间
实际数据(即区块体)的 Hash
上一个区块的 Hash
……
这里,你需要理解什么叫 Hash,这是理解区块链必需的。
所谓 Hash 就是计算机可以对任意内容,计算出一个长度相同的特征值。区块链的 Hash 长度是256位,这就是说,不管原始内容是什么,最后都会计算出一个256位的二进制数字。而且可以保证,只要原始内容不同,对应的 Hash 一定是不同的。
举例来说,字符串123的 Hash 是(十六进制):8fdc205a9f19cc1c7507a60c4f01b13d11d7fd0,转成二进制就是256位,而且只有123能得到这个 Hash。
因此,就有两个重要的推论。
推论1:每个区块的 Hash 都是不一样的,可以通过 Hash 标识区块。
推论2:如果区块的内容变了,它的 Hash 一定会改变。
04.Hash 的不可修改性
区块与 Hash 是一一对应的,每个区块的 Hash 都是针对“区块头”(Head)计算的。
Hash = SHA256(区块头)
上面就是区块 Hash 的计算公式,Hash 由区块头唯一决定,SHA256是区块链的 Hash 算法。
前面说过,区块头包含很多内容,其中有当前区块体的 Hash(注意是“区块体”的 Hash,而不是整个区块),还有上一个区块的 Hash。这意味着,如果当前区块的内容变了,或者上一个区块的 Hash 变了,一定会引起当前区块的 Hash 改变。
这一点对区块链有重大意义。如果有人修改了一个区块,该区块的 Hash 就变了。为了让后面的区块还能连到它,该人必须同时修改后面所有的区块,否则被改掉的区块就脱离区块链了。由于后面要提到的原因,Hash 的计算很耗时,同时修改多个区块几乎不可能发生,除非有人掌握了全网51%以上的计算能力。
正是通过这种联动机制,区块链保证了自身的可靠性,数据一旦写入,就无法被篡改。这就像历史一样,发生了就是发生了,从此再无法改变。
每个区块都连着上一个区块,这也是“区块链”这个名字的由来。
05.采矿
由于必须保证节点之间的同步,所以新区块的添加速度不能太快。试想一下,你刚刚同步了一个区块,准备基于它生成下一个区块,但这时别的节点又有新区块生成,你不得不放弃做了一半的计算,再次去同步。因为每个区块的后面,只能跟着一个区块,你永远只能在最新区块的后面,生成下一个区块。所以,你别无选择,一听到信号,就必须立刻同步。
所以,区块链的发明者中本聪(这是假名,真实身份至今未知)故意让添加新区块,变得很困难。他的设计是,平均每10分钟,全网才能生成一个新区块,一小时也就六个。
这种产出速度不是通过命令达成的,而是故意设置了海量的计算。也就是说,只有通过极其大量的计算,才能得到当前区块的有效 Hash,从而把新区块添加到区块链。由于计算量太大,所以快不起来。
这个过程就叫做采矿(mining),因为计算有效 Hash 的难度,好比在全世界的沙子里面,找到一粒符合条件的沙子。计算 Hash 的机器就叫做矿机,操作矿机的人就叫做矿工。
06.难度系数
读到这里,你可能会有一个疑问,人们都说采矿很难,可是采矿不就是用计算机算出一个 Hash 吗,这正是计算机的强项啊,怎么会变得很难,迟迟算不出来呢?
原来不是任意一个 Hash 都可以,只有满足条件的 Hash 才会被区块链接受。这个条件特别苛刻,使得绝大部分 Hash 都不满足要求,必须重算。
原来,区块头包含一个难度系数(difficulty),这个值决定了计算 Hash 的难度。举例来说,第100000个区块的难度系数是 14484.16236122。
区块链协议规定,使用一个常量除以难度系数,可以得到目标值(target)。显然,难度系数越大,目标值就越小。
Hash 的有效性跟目标值密切相关,只有小于目标值的 Hash 才是有效的,否则 Hash 无效,必须重算。由于目标值非常小,Hash 小于该值的机会极其渺茫,可能计算10亿次,才算中一次。这就是采矿如此之慢的根本原因。
区块头里面还有一个 Nonce 值,记录了 Hash 重算的次数。第 100000 个区块的 Nonce 值是274148111,即计算了 2.74 亿次,才得到了一个有效的 Hash,该区块才能加入区块链。
07.难度系数的动态调节
就算采矿很难,但也没法保证,正好十分钟产出一个区块,有时一分钟就算出来了,有时几个小时可能也没结果。总体来看,随着硬件设备的提升,以及矿机的数量增长,计算速度一定会越来越快。
为了将产出速率恒定在十分钟,中本聪还设计了难度系数的动态调节机制。他规定,难度系数每两周(2016个区块)调整一次。如果这两周里面,区块的平均生成速度是9分钟,就意味着比法定速度快了10%,因此难度系数就要调高10%;如果平均生成速度是11分钟,就意味着比法定速度慢了10%,因此难度系数就要调低10%。
难度系数越调越高(目标值越来越小),导致了采矿越来越难。
08.区块链的分叉
即使区块链是可靠的,现在还有一个问题没有解决:如果两个人同时向区块链写入数据,也就是说,同时有两个区块加入,因为它们都连着前一个区块,就形成了分叉。这时应该采纳哪一个区块呢?

现在的规则是,新节点总是采用最长的那条区块链。如果区块链有分叉,将看哪个分支在分叉点后面,先达到6个新区块(称为“六次确认”)。按照10分钟一个区块计算,一小时就可以确认。

由于新区块的生成速度由计算能力决定,所以这条规则就是说,拥有大多数计算能力的那条分支,就是正宗的比特链。
09.总结
区块链作为无人管理的分布式数据库,从2009年开始已经运行了8年,没有出现大的问题。这证明它是可行的。
但是,为了保证数据的可靠性,区块链也有自己的代价。一是效率,数据写入区块链,最少要等待十分钟,所有节点都同步数据,则需要更多的时间;二是能耗,区块的生成需要矿工进行无数无意义的计算,这是非常耗费能源的。
因此,区块链的适用场景,其实非常有限。
1.不存在所有成员都信任的管理当局
2.写入的数据不要求实时使用
3.挖矿的收益能够弥补本身的成本
如果无法满足上述的条件,那么传统的数据库是更好的解决方案。

目前,区块链最大的应用场景(可能也是唯一的应用场景),就是以比特币为代表的加密货币。
相关热词:#区块链
为什么需要MOSFET栅极电阻?MOSFET栅极电阻...
时间:2026-03-05
NTC/PTC/CTR热敏电阻是什么?热敏电阻的使用...
时间:2026-03-05
解析单电阻采样的原理以及注意点
时间:2026-03-05
共源极放大器的设计方法
时间:2026-03-05
关于STM32WL LSE 添加反馈电阻后无法起振的...
时间:2026-03-05
如何直观地判断两级放大器的零点位置呢?
时间:2026-03-05
时序分析基本概念介绍<wire load model&...
时间:2026-03-05
电子元器件解析—电阻
时间:2026-03-05
3PEAK高压零漂放大器契合精密应用
时间:2026-03-05
助力绿色5G数字式电流和功率监测芯片-TPA62...
时间:2026-03-05
未来什么技术占主流?会是区块链吗?
时间:2026-03-05
浅谈区块链下的智能合约
时间:2026-03-05
浅显易懂地揭开.Net生态系统的神秘面纱!
时间:2026-03-05
对技术的执着和美的追求变成了程序员的“诗...
时间:2026-03-05
什么是区块链技术_区块链技术解析
时间:2026-03-05
脑洞大开:玻璃窗也能发电?
时间:2026-03-05
如何布置无人值守变电站?
时间:2026-03-05
SCADA系统懂多少?
时间:2026-03-05
灰尘对光伏电站效率影响究竟多大
时间:2026-03-05
一种基于Agent的智能电网集成优化控制策略
时间:2026-03-05