“并联”一词通常用来描述两个元件之间的一种物理连接关系,这些元件的特性通常是已知的。一般地,如果两个元件,或两个支路,或两个电路,它们有两个公共的连接点.就称它们为并联连接,简称并联。
例如,图1a中的两个电阻是并联,因为它们存在两个公共的连接点a和b,在图1b中,电阻R1和R3也是并联,因为它们也有两个公共的连接点a和b;而R1和R3不是并联,因为它们只有一个公共点b;同理,R2和R3也不是并联。
在图1c 中,R1和R2是串联,因为它们仅含有一个公共点,并且这个点没有与电路的其他部分连接;电阻R1和R3不是并联,因为它们仅有一个公共点a;另外,它们也不是串联,因为还有第三条支路连接到a点;同理可以说明R2和R 3, 它们既不是串联,也不是并联。
在更广泛的意义下,可以说是R1和R2的串联支路与R3并联。进一步地,尽管以上讨论只是针对电阻的情形,但同样适用于任何二端元件,例如电压源和各种测量仪表。
在绘制电路图时,表示并联的连接有多种,如图1所示。在每一种情况下,三个电阻都是并联的,因为它们都有公共点a和b。

图 1:三个电阻并联的电路图
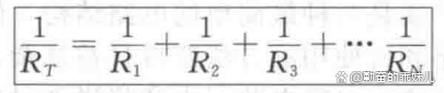
对于如图2所示的并联电路,总电阻由下面公式决定:

(1)
由于G=1/R,因此上式也可写成电导的形式,为:

(2)
这与电阻串联的总电阻公式在形式上是一致的,即R T =R 1 +R 2 +R 3 +...十R N 。这种对偶关系,可以让你轻松地从一个公式得到另一个公式,只需简单地交换R和G。
当需要计算总电阻值时,则需要应用如下形式的公式:

(3)
很显然,公式(3)不像串联电路总电阻公式那样简捷,你必须小心计算所有倒数这个公式的主要特点是,它可以用来计算任何数量电阻并联后的总电阻。

图2:电阻的并联连接
例1.
a.计算图3中并联电路的总电导
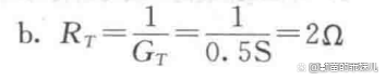
b.利用a的结果和公式(3),计算该电路的总电阻。

图3
解:


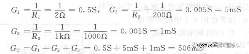
应用公式(3)得

例2.
a.观察图4中哪一个并联元件具有最小的电导值?确定网络的总电导,并说明你的结论是否得到证实。
b.利用a的结果和公式(3)确定总电阻值。

图4
解:
a.由于在所有并联电阻中1kΩ电阻为最大,因此它对电流的阻碍作用也最大即它具有最小的电导值。

注意2Ω(500mS)和1kΩ(1mS)电阻对应电导值的差别。
b.

应用公式(3)得:

什么是CBB电容,什么是独石电容,什么是电解...
时间:2026-03-05
标称容量与允许偏差
时间:2026-03-05
电容器的构成
时间:2026-03-05
电容器的型号命名方法
时间:2026-03-05
电容器的种类
时间:2026-03-05
电容器在电路中的作用
时间:2026-03-05
电容的额定电压
时间:2026-03-05
电容器的温度系数
时间:2026-03-05
电容器的抗电强度
时间:2026-03-05
电容器的绝缘电容
时间:2026-03-05
关于STM32WL LSE 添加反馈电阻后无法起振的...
时间:2026-03-05
电阻的标称阻值和允许偏差
时间:2026-03-05
告诉你电容器那些鲜为人知的秘密
时间:2026-03-05
合金电阻与贴片电阻有什么区别?你知道合金...
时间:2026-03-05
3PEAK高压零漂放大器契合精密应用
时间:2026-03-05
零欧电阻的功能
时间:2026-03-05
PPTC热敏电阻在电池中的应用
时间:2026-03-05
水泥电阻规格及型号
时间:2026-03-05
气敏电阻的型号命名方法是怎样的
时间:2026-03-05
国巨片式电阻缺货涨价之应对方案 你要知道电...
时间:2026-03-05