等效噪声温度
考虑一个电阻在环境温度T K下,如下图所示。
电阻中的电子在进行随机运动,且动能与温度成正比。
这些随机的运动,在电阻两端产生很小的随机电压波动。
这个电压的平均值为0,但是均方根(RMS)值为:

因此,一个电阻产生的噪声,可以由下图表示。

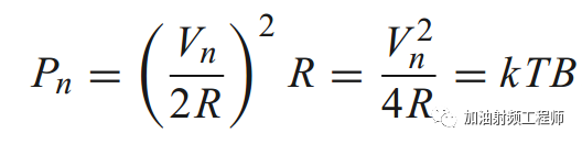
如果接了一个阻值为R的负载,则传递到R上的噪声功率为:

可以看到,电阻产生的热噪声功率是与频率无关的,即在所有频率处功率谱密度是随相等的,所以是一种白噪声。
独立的白噪声源可以被看做高斯分布的随机量,且这些噪声源的噪声功率是可以叠加的。
如果一个噪声源,产生的噪声,其噪声功率在感兴趣的频段内与频率无关,那么就可以把它看成一个白噪声。而这个噪声源,可以用等效噪声温度Te来表征。如下图所示。

一个器件或系统,可以用等效噪声温度Te来表征其噪声性能。
假设一个有噪声的放大器,频率带宽为B,增益为G,那么当Ni=0(Ts=0K)的时候,输出的No完全是由于放大器本身的噪声的原因。
这也可以等价为一个等效噪声温度为Te的噪声,通过一个无噪声放大器。如下图所示。所以,KTeBG就代表由于放大器本身产生的噪声。

那如果,有两个器件级联,等效噪声温度分别为Te1, Te2,那么两者级联后的等效噪声温度是多少呢?

结合前面的器件的等效噪声温度的概念,推导很顺畅。
噪声系数
用等效噪声温度,可以表征器件的噪声特性。另一种表征器件噪声系数的方法,是噪声系数。
噪声系数定义输入信噪比与输出信噪比的比值,如果器件,没有噪声,即Te=0,则输入信噪比和输出信噪比相等,即F=1。

噪声系数和等效噪声温度的关系
由前面的等效噪声温度的定义,可以得到:
Ni=KT0B
No=K(T0+Te)B*G
所以:

从而可以得到:

为什么写这篇文章呢?
有号友发来消息说(在此再次表示感谢,知识总是越讨论,掌握的越真切),在微波工程中也有类似的例子(第三版,P426,例子10.2),但是觉得更容易理解。
然后,我就去看了呀,一边看,一边感慨号友的认真程度,表示自愧不如。因为虽然我也翻过微波工程,但是我却没有注意到这个例子。

例子的计算是分四步走:
(1) 把dB值转换成线性值
(2) 计算级联的噪声系数
(3) 计算级联的等效噪声温度
(4) 计算输出的噪声
但是号友也反馈,说他的计算结果和我的计算结果是一样的。那就表示我那种想法也没错。所以,我就推了一下两者的关系,发现确实是等价的。

所以,两种方法,哪个容易理解,就用哪个吧。
审核编辑:刘清
什么是CBB电容,什么是独石电容,什么是电解...
时间:2026-03-05
标称容量与允许偏差
时间:2026-03-05
电容器的构成
时间:2026-03-05
电容器的型号命名方法
时间:2026-03-05
电容器的种类
时间:2026-03-05
电容器在电路中的作用
时间:2026-03-05
电容的额定电压
时间:2026-03-05
电容器的温度系数
时间:2026-03-05
电容器的抗电强度
时间:2026-03-05
电容器的绝缘电容
时间:2026-03-05
关于STM32WL LSE 添加反馈电阻后无法起振的...
时间:2026-03-05
电阻的标称阻值和允许偏差
时间:2026-03-05
告诉你电容器那些鲜为人知的秘密
时间:2026-03-05
合金电阻与贴片电阻有什么区别?你知道合金...
时间:2026-03-05
3PEAK高压零漂放大器契合精密应用
时间:2026-03-05
零欧电阻的功能
时间:2026-03-05
PPTC热敏电阻在电池中的应用
时间:2026-03-05
水泥电阻规格及型号
时间:2026-03-05
气敏电阻的型号命名方法是怎样的
时间:2026-03-05
国巨片式电阻缺货涨价之应对方案 你要知道电...
时间:2026-03-05