发电机是将其他形式的能源转换成电能的机械设备,它由水轮机、汽轮机、柴油机或其他动力机械驱动,将水流,气流,燃料燃烧或原子核裂变产生的能量转化为机械能传给发电机,再由发电机转换为电能。发电机在工农业生产,国防,科技及日常生活中有广泛的用途。
发电机的形式很多,但其工作原理都基于电磁感应定律和电磁力定律。因此,其构造的一般原则是:用适当的导磁和导电材料构成互相进行电磁感应的磁路和电路,以产生电磁功率,达到能量转换的目的。
交流发电机工作原理
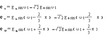
交流发电机的发电原理如图2-2所示。






二、 整流原理
相关热词:#发电机
开关二极管,开关二极管是什么意思
时间:2026-03-04
开关二极管的作用的什么?
时间:2026-03-04
开关二极管的开关作用的实现原理
时间:2026-03-04
开关二极管的原理与参数
时间:2026-03-04
开关二极管的种类和参数有哪些?
时间:2026-03-04
开关二极管型号大全
时间:2026-03-04
PIN二极管,PIN二极管是什么意思
时间:2026-03-04
pin光电二极管原理
时间:2026-03-04
PIN光电二极管应用大全
时间:2026-03-04
PIN光电二极管的光电转换原理
时间:2026-03-04
三相异步电动机原理
时间:2026-03-04
电风扇红外遥控器2
时间:2026-03-04
由三个接触器组成的电动机正反转控制电路图
时间:2026-03-04
电动机单线远程正反转控制电路图
时间:2026-03-04
三相异步电动机的拆装详讲
时间:2026-03-04
三相异步电动机的七种调速方式
时间:2026-03-04
USB转232电路图
时间:2026-03-04
焊机工作原理方框图
时间:2026-03-04
碰焊机的原理及种类
时间:2026-03-04
电度表的工作原理
时间:2026-03-04