PIN二极管,PIN二极管是什么意思
普通的二极管由PN结组成.在P和N半导体材料之间加入一薄层低掺杂的本征(Intrinsic)半导体层,组成的这种P-I-N结构的二极管就是PIN 二极管.正因为有本征(Intrinsic)层的存在,PIN 二极管应用很广泛,从低频到高频的应用都有,主要用在RF领域,用作RF 开关和RF保护电路,也有用作光电二极管(PhotoDiode)。PIN 二极管包括PIN光电二极管和PIN开关二极管.
微波开关利用PIN管在直流正,反偏压下呈现近似导通或断开的阻抗特性,实现了控制微波信号通道转换作用. PIN 二极的直流伏安特性和PN结二极管是一样的,但是在微波频段却有根本的差别。由于PIN 二极I层的总电荷主要由偏置电流产生。而不是由微波电流瞬时值产生,所以其对微波信号只呈现一个线性电阻。此阻值由直流偏置决定,正偏时阻值小,接近于短路,反偏时阻值大,接近于开路。因此PIN 二极对微波信号不产生肥线性整流作用,这是和一般二极管的根本区别,所以它很适合于做微波控制器件。
因此,可以把PIN二极管作为可变阻抗元件使用。它常被应用于高频开关(即微波开关)、移相、调制、限幅等电路中。 PIN二极管的特性:
加负电压(或零偏压)时,PIN管等效为电容+电阻;加正电压时,PIN管等效为小电阻。用改变结构尺寸及选择PIN二极管参数的方法,使短路的阶梯脊波导的反射相位(基准相位)与加正电压的PIN管控制的短路波导的反射相位相同。还要求加负电压(或0偏置)的PIN管控制的短路波导的反射相位与标准相位相反(-164°~+164°之间即可)。
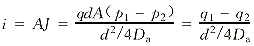
图1给出了PIN二极管在正向导通时的电荷分布情况.为简化起见,我们假设I区域中电子与空穴分布对称且分布密度相同.设x=-d处的空穴分布密度为p1,在[-d,0]区域中的剩余空穴电荷为q2,且位于x=-d/2处,这样此区域的平均空穴密度为:p2=q2/qAd.这里A为结面积,q为单位电荷.

图1 PIN二极管的电荷分布
由于P+区域的空穴密度远大于电子密度,这样在x=-d处的电子电流可以忽略(所引起的误差将在下文讨论).二极管的电流密度可以表示为[9]
![]()
其中 Da为扩散常数;Jh为空穴电流密度.
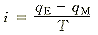
二极管的电流为
![]()
电荷q2与电流的关系式为
![]()
其中 τa为寿命时间.
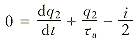
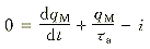
式(2)及式(3)描述了二极管的模型,通过定义qE=2q1, qM=2q2及T=d2/2Da,两式可简化为
![]()
![]()
图2表示了在感性负载时二极管的关断过程.此过程可分为两个阶段:从t=T0到t=T1,二极管处于低阻抗状态,其电压近似为0,在t=T1时刻,二极管中I区域边缘的剩余电荷变为0,二极管开始呈现高阻抗状态.在式(4)、(5)中令qE=0可得t=T1时刻后二极管的电流为
![]()
其中 τ?rr由式(7)给出,I?rr为反向恢复电流峰值.
![]()

图2 反向恢复电流波形
一般情况下,t?rr、I?rr及测试条件di/dt、I?FM均在器件的产品手册上列出.根据式(6)及测试条件,τ?rr可由下式获得
![]()
其中 a=-di/dt.
根据图2所示的反向电流波形,qM在t≤T1阶段的表达式为
![]()
当t=T1时,i(T1)=-I?rr=-qM(T1)/T,代入上式得式(10),τa可由此式解出
然后参数T可由τa、T及τ?rr的关系式(7)算出.
从以上的讨论可以看出,该模型的参数可以方便地从产品手册中得到:首先由式(8)计算τ?rr,再从式(10)解得τa,最后由式(7)决定参数T。
设计PIN二极管时需主要考虑几个参数
1. 插入损耗:开关在导通时衰减不为零,称为插入损耗
2. 隔离度:开关在断开时其衰减也非无穷大,称为隔离度
3. 开关时间: 由于电荷的存储效应,PIN管的通断和断通都需要一个过程,这个过程所需时间
4. 承受功率: 在给定的工作条件下,微波开关能够承受的最大输入功率
5. 电压驻波系数: 仅反映端口输入,输出匹配情况
6. 视频泄漏
7. 谐波: PIN二极管也具有非线性,因而会产生谐波,PIN开关在宽带应用场合,谐波可能落在使用频带内引起干扰. 开关分类:反射式和吸收式, 吸收式开关的性能较反射式开关优良
控制方式:采用TTL信号控制。'1'通'0'断
PIN二极管型号的选择主要是根据所做光功率计的测量范围来确定的。常用的PIN二极管(如FU-15PD)都是小信号工作器件,光敏面不合适,能接收的光功率范围很有限,所以一般不用它做光功率计的探测器。
PIN二极管还可以调节到高频范围。为改善隔离特性,我们可以将两个或多个二极管串联起来,但同时会引起介入损耗的增大。PIN二极管本质上还属于电流控制的电阻器。为减少介入损耗,它们需要采用大量的直流电源以降低I(本征)区内的电阻率。这显然会影响电池寿命。这种特点,再加上PIN二极管方案需要大量器件,使得这种技术很难应用于便携手持式产品。
常用整流二极管型号大全
时间:2026-03-04
整流二极管参数大全
时间:2026-03-04
整流二极管的型号如何区分?
时间:2026-03-04
整流二极管的作用及其整流电路
时间:2026-03-04
整流二极管工作原理是什么?
时间:2026-03-04
电子整流器工作原理详细分析
时间:2026-03-04
整流堆,什么是整流堆
时间:2026-03-04
桥式整流器,什么是桥式整流器
时间:2026-03-04
桥式整流器原理电路
时间:2026-03-04
限幅二极管,什么是限幅二极管
时间:2026-03-04
瞬间抑制二极管(TVS)/瞬间抑制二极管(TVS)是...
时间:2026-03-04
S/HS固态继电器原理简介
时间:2026-03-04
稳压二极管的选用和代换
时间:2026-03-04
TVS器件的电特性有哪些
时间:2026-03-04
TVS二极管的分类/应用,TVS二极管的特点/选用...
时间:2026-03-04
快恢复二极管,快恢复二极管是什么意思
时间:2026-03-04
PN结温度传感器工作原理是什么?
时间:2026-03-04
双向二极管起什么作用?
时间:2026-03-04
图解半导体制程概论1
时间:2026-03-04
图解半导体制程概论(2)
时间:2026-03-04