无源低通滤波器电路
1.滤波器是对输入信号的频率具有选择性的一个二端口网络,它允许某些频率(通
图4-1 四种滤波器的幅频特性
2.四种滤波器的传递函数和实验模拟电路如图4-2 所示:(a)无源低通滤波器 (b)有源低通滤波器 (c) 无源高通滤波器 (d)有源高通滤波器 (e)无源带通滤波器 (f)有源带通滤波器 (g)无源带阻滤波器 (h)有源带阻滤波器

图4-2 四种滤波器的实验电路
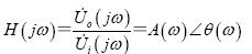
3.滤波器的网络函数H(jω),又称为正弦传递函数,它可用下式表示

式中A(ω)为滤波器的幅频特性,θ(ω)为滤波器的相频特性。它们均可通过实验的方
法来测量。
相关热词:#无源
东芝牌RAC-45NHE型空调机电路图
时间:2026-03-04
杜鹃牌XPB2-3型洗衣机电路图
时间:2026-03-04
干衣机电路图
时间:2026-03-04
古桥牌KC-30DE型牌窗式空调机电路图
时间:2026-03-04
好乐牌KC-42R型窗式空调机电路图
时间:2026-03-04
佳乐牌KCS-12型窗式空调机电路图
时间:2026-03-04
江南牌KC-20型窗式空调器电路图
时间:2026-03-04
江南牌KCD-31型窗式空调器电路图
时间:2026-03-04
金羚牌XQB30-5型全自动洗衣机电路图
时间:2026-03-04
日产AW B310B型洗衣机控制器电路图
时间:2026-03-04
三相异步电动机原理
时间:2026-03-04
电度表的工作原理
时间:2026-03-04
电动机单线远程正反转控制电路图
时间:2026-03-04
三相异步电动机的拆装详讲
时间:2026-03-04
三相异步电动机的七种调速方式
时间:2026-03-04
USB转232电路图
时间:2026-03-04
电风扇红外遥控器2
时间:2026-03-04
由三个接触器组成的电动机正反转控制电路图
时间:2026-03-04
东芝牌RAC-45NHE型空调机电路图
时间:2026-03-04
半球牌调温电炉电路图
时间:2026-03-04