D触发器工作原理是什么?
边沿D 触发器:
负跳沿触发的主从触发器工作时,必须在正跳沿前加入输入信号。如果在CP 高电平期间输入端出现干扰信号,那么就有可能使触发器的状态出错。而边沿触发器允许在CP 触发沿来到前一瞬间加入输入信号。这样,输入端受干扰的时间大大缩短,受干扰的可能性就降低了。边沿D触发器也称为维持-阻塞边沿D触发器。
电路结构: 该触发器由6个与非门组成,其中G1和G2构成基本RS触发器。

工作原理:
SD 和RD 接至基本RS 触发器的输入端,它们分别是预置和清零端,低电平有效。当SD=0且RD=1时,不论输入端D为何种状态,都会使Q=1,Q=0,即触发器置1;当SD=1且RD=0时,触发器的状态为0,SD和RD通常又称为直接置1和置0端。我们设它们均已加入了高电平,不影响电路的工作。工作过程如下:
1.CP=0时,与非门G3和G4封锁,其输出Q3=Q4=1,触发器的状态不变。同时,由于Q3至Q5和Q4至Q6的反馈信号将这两个门打开,因此可接收输入信号D,Q5=D,Q6=Q5=D。
2.当CP由0变1时触发器翻转。这时G3和G4打开,它们的输入Q3和Q4的状态由G5和G6的输出状态决定。Q3=Q5=D,Q4=Q6=D。由基本RS触发器的逻辑功能可知,Q=D。
3.触发器翻转后,在CP=1时输入信号被封锁。这是因为G3和G4打开后,它们的输出Q3和Q4的状态是互补的,即必定有一个是0,若Q3为0,则经G3输出至G5输入的反馈线将G5封锁,即封锁了D通往基本RS 触发器的路径;该反馈线起到了使触发器维持在0状态和阻止触发器变为1状态的作用,故该反馈线称为置0维持线,置1阻塞线。Q4为0时,将G3和G6封锁,D端通往基本RS触发器的路径也被封锁。Q4输出端至G6反馈线起到使触发器维持在1状态的作用,称作置1维持线;Q4输出至G3输入的反馈线起到阻止触发器置0的作用,称为置0阻塞线。因此,该触发器常称为维持-阻塞触发器。总之,该触发器是在CP正跳沿前接受输入信号,正跳沿时触发翻转,正跳沿后输入即被封锁,三步都是在正跳沿后完成,所以有边沿触发器之称。与主从触发器相比,同工艺的边沿触发器有更强的抗干扰能力和更高的工作速度。功能描述
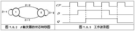
1.状态转移真值表

2.特征方程 Qn+1=D
3.状态转移图

脉冲特性:
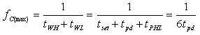
1.建立时间:由图7.8.4维持阻塞触发器的电路可见,由于CP信号是加到门G3和G4上的,因而在CP上升沿到达之前门G5和G6输出端的状态必须稳定地建立起来。输入信号到达D端以后,要经过一级门电路的传输延迟时间G5的输出状态才能建立起来,而G6的输出状态需要经过两级门电路的传输延迟时间才能建立,因此D端的输入信号必须先于CP的上升沿到达,而且建立时间应满足: tset≥2tpd。
2.保持时间:由图7.8.4可知,为实现边沿触发,应保证CP=1期间门G6的输出状态不变,不受D端状态变化的影响。为此,在D=0的情况下,当CP上升沿到达以后还要等门G4输出的低电平返回到门G6的输入端以后,D端的低电平才允许改变。因此输入低电平信号的保持时间为tHL≥tpd。在 D=1的情况下,由于CP上升沿到达后G3的输出将G4封锁,所以不要求输入信号继续保持不变,故输入高电平信号的保持时间tHH=0。
3.传输延迟时间:由图7.8.3不难推算出,从CP上升沿到达时开始计算,输出由高电平变为低电平的传输延迟时间tPHL和由低电平变为高电平的传输延迟时间tPLH分别是:tPHL=3tpd tPLH=2tpd

4.最高时钟频率:为保证由门G1~G4组成的同步RS触发器能可靠地翻转,CP高电平的持续时间应大于 tPHL,所以时钟信号高电平的宽度tWH应大于tPHL。而为了在下一个CP上升沿到达之前确保门G5和G6新的输出 电平得以稳定地建立,CP低电平的持续时间不应小于门G4的传输延迟时间和tset之和,即时钟信号低电平的宽度tWL≥tset+tpd,因此得到:

最后说明一点,在实际集成触发器中,每个门传输时间是不同的,并且作了不同形式的简化,因此上面讨论的结果只是一些定性的物理概念。其真实参数由实验测定。
集成触发器:
集成D触发器的定型产品种类比较多,这里介绍双D触发器74HC74,实际上,74型号的产品种类较多,比如还有7474、74H74等。

通过图7.8.5中的逻辑符号和D触发器74HC74的逻辑功能表我们可以看出,HC74是带有预置、清零输入,上跳沿触发的边沿触发器。
综上所述,对边沿D触发器归纳为以下几点:
1.边沿D触发器具有接收并记忆信号的功能,又称为锁存器; 2.边沿D触发器属于脉冲触发方式; 3.边沿D触发器不存在约束条件和一次变化现象,抗干扰性能好,工作速度快。
D触发器工作原理
主从JK触发器是在CP脉冲高电平期间接收信号,如果在CP高电平期间输入端出现干扰信号,那么就有可能使触发器产生与逻辑功能表不符合的错误状态。边沿触发器的电路结构可使触发器在CP脉冲有效触发沿到来前一瞬间接收信号,在有效触发沿到来后产生状态转换,这种电路结构的触发器大大提高了抗干扰能力和电路工作的可靠性。下面以维持阻塞D触发器为例介绍边沿触发器的工作原理。
维持阻塞式边沿D触发器的逻辑图和逻辑符号如图9-7所示。该触发器由六个与非门组成,其中G1、G2构成基本RS触发器,G3、G4组成时钟控制电路,G5、G6组成数据输入电路。和分别是直接置0和直接置1端,有效电平为低电平。分析工作原理时,设和均为高电平,不影响电路的工作。电路工作过程如下。


(a) 逻辑图 (b) 逻辑符号
图9-7 维持阻塞型D触发器
① CP=0时,与非门G3和G4封锁,其输出为1,触发器的状态不变。同时,由于至G5和至G6的反馈信号将这两个门G5、G6打开,因此可接收输入信号,使=,==。
② 当CP由0变1时,门G3和G4打开,它们的输出和的状态由G5和G6的输出状态决定。==,==。由基本RS触发器的逻辑功能可知,=。
③ 触发器翻转后,在CP=1时输入信号被封锁。G3和G4打开后,它们的输出和的状态是互补的,即必定有一个是0,若为0,则经G4输出至G6输入的反馈线将G6封锁,即封锁了D通往基本RS触发器的路径;该反馈线起到了使触发器维持在0状态和阻止触发器变为1状态的作用,故该反馈线称为置0维持线,置1阻塞线。G3为0时,将G4和G5封锁,D端通往基本RS触发器的路径也被封锁;G3输出端至G5反馈线起到使触发器维持在1状态的作用,称作置1维持线;G3输出端至G4输入的反馈线起到阻止触发器置0的作用,称为置0阻塞线。因此,该触发器称为维持阻塞触发器。
东芝牌RAC-45NHE型空调机电路图
时间:2026-03-04
杜鹃牌XPB2-3型洗衣机电路图
时间:2026-03-04
干衣机电路图
时间:2026-03-04
古桥牌KC-30DE型牌窗式空调机电路图
时间:2026-03-04
好乐牌KC-42R型窗式空调机电路图
时间:2026-03-04
佳乐牌KCS-12型窗式空调机电路图
时间:2026-03-04
江南牌KC-20型窗式空调器电路图
时间:2026-03-04
江南牌KCD-31型窗式空调器电路图
时间:2026-03-04
金羚牌XQB30-5型全自动洗衣机电路图
时间:2026-03-04
日产AW B310B型洗衣机控制器电路图
时间:2026-03-04
瞬间抑制二极管(TVS)/瞬间抑制二极管(TVS)是...
时间:2026-03-04
常用整流二极管型号大全
时间:2026-03-04
S/HS固态继电器原理简介
时间:2026-03-04
稳压二极管的选用和代换
时间:2026-03-04
TVS器件的电特性有哪些
时间:2026-03-04
TVS二极管的分类/应用,TVS二极管的特点/选用...
时间:2026-03-04
快恢复二极管,快恢复二极管是什么意思
时间:2026-03-04
PN结温度传感器工作原理是什么?
时间:2026-03-04
双向二极管起什么作用?
时间:2026-03-04
集电极开路(OC)/漏极开路(OD)输出的结构
时间:2026-03-04