噪声由实际器件的电流和电压的随机波动而产生的。给出n型电阻的简单模型:

其中J是平均电流密度,q是电子电荷,n是平均电子密度,v是平均电子漂移速度。瞬时电子密度和漂移速度随时间的波动将引起所得到的电流密度的波动。
电阻触点处的电流:

其中,△i(t)是由电阻器产生的噪声。
有噪声的器件可以通过添加到理想(无噪声)器件的端子中的外部电流源来表示。

这些电流源是小的和随机的。噪声的描述是这些电流源的统计特性。通常,描述当前源的频域行为。当电流源平均值为0.

噪声通过自相关性进行描述:

以及相互相关性:

相比于电流源,用电压源的行为来描述噪声可能更方便。噪声电流可以很容易地转化为噪声电压。例如:


一种简单的双端口电路:一个简单电路的一个方框图。多少噪声传输到达负载?

噪声系数F是用于衡量由于器件噪声而导致的负载上噪声功率的增加量。

此处:
.PS是如果器件无噪声(即传递到负载的噪声仅来自于电源)时,将传递到负载的噪声功率。
.PSD是从电源和器件传送到负载的噪声功率。
噪声系数的标准定义假设电源在器件的温度下产生热噪声:


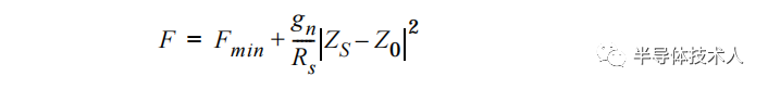
其中传统两端口的优点:
.最小噪声系数,Fmin;
.最佳源阻抗,Z0;
.噪声电导率gn。
最佳源阻抗给出最小噪声系数(即,ZS=Z0时F=Fmin).噪声电导是测量当源阻抗远离Z0时噪声系数增加的程度。
为什么需要MOSFET栅极电阻?MOSFET栅极电阻...
时间:2026-03-05
NTC/PTC/CTR热敏电阻是什么?热敏电阻的使用...
时间:2026-03-05
解析单电阻采样的原理以及注意点
时间:2026-03-05
共源极放大器的设计方法
时间:2026-03-05
关于STM32WL LSE 添加反馈电阻后无法起振的...
时间:2026-03-05
如何直观地判断两级放大器的零点位置呢?
时间:2026-03-05
时序分析基本概念介绍<wire load model&...
时间:2026-03-05
电子元器件解析—电阻
时间:2026-03-05
3PEAK高压零漂放大器契合精密应用
时间:2026-03-05
助力绿色5G数字式电流和功率监测芯片-TPA62...
时间:2026-03-05
电阻的标称阻值和允许偏差
时间:2026-03-05
零欧电阻的功能
时间:2026-03-05
PPTC热敏电阻在电池中的应用
时间:2026-03-05
水泥电阻规格及型号
时间:2026-03-05
气敏电阻的型号命名方法是怎样的
时间:2026-03-05
国巨片式电阻缺货涨价之应对方案 你要知道电...
时间:2026-03-05
RI-80F型高压高阻玻璃釉膜电阻分压器
时间:2026-03-05
电阻器的分类
时间:2026-03-05
电阻的额定功率
时间:2026-03-05
电阻的高频特性
时间:2026-03-05