无偏置二极管,无偏置二极管是什么意思
无任何偏置电流、电压就具有单向导电作用的二极管称无偏二极管。由于导体、半导体中导电电子的热运动,当将该管两端用导线相连时,则有一持续的直流电流流过该导线且能带动负载。现能达到的指标是:100mV,0.1μA。电压已达顶峰,电流还有很大的提高潜力,有广泛的应用前景。
无偏二极管获取能量的途径与常规发电完全不同。它是向内能库要能量。在导体、半导体中有很多导电电子,它们以很高的速度作热运动,由于运动方向杂乱无章,互相抵消电流为零。无偏二极管在无任何偏置电流、电压的条件下,具有单向导电特性,故可将杂乱无章的热运动定向化,当将其两端用导线相连时,便形成了电流。这一能量是二极管中热运动速度高的电子降速换来的,因而二极管将降温;降温后的二极管从周围环境吸收热量。二极管发出的电流流过负载电阻,负载电阻发热,热量散发到周围环境中,通过环境再还给二极管,自然形成循环,二极管便可持续输出能量。它发电时不
无偏二极管原理
从伏打电池原理我们知道两种金属A和B之间存在着一定的电位差,那么在制造时,让二极管的两端保留着这个电位差,这种二极管并不是以单向导电为主的。
在两种金属A和B的界面上,制造出大量的空穴(作者称为小井),这种空穴非常小,仅仅能让电子通过。而空穴与空穴之间存在着自建电场,电子无法通过空穴外面穿过金属界面。
当伏打电池的电流形成回路,电流从金属A一端流向金属B的一端后,两块金属内部的电子达到了平恒,两块金属之间不再有电位差。
当金属A的温度升高,而金属B仍保持原来的温度,金属A内部的分子自由运动的速度升高,金属内部的自由电子运动速度跟着升高,自由电子自身的动能也跟随着增高。在金属A内部自由运动的电子,在杂乱无章的运动时,撞到了两种金属界面上的空穴,自由电子由于自身的动能增加,电子就穿过金属界面进入了金属B,这样金属B内部的自由电子数量就增加了,在外部就显示出金属AB之间有了电位差,就可以形成新的电流了。
无偏二极管的制作方法
材料
材料有硅粉、铬粉、锗粉、磷、钨丝电极、载玻片、可伐合金、镍铬丝、金属锑、氩气和氮气等。
仪器
仪器有超净室、DMX-220A型真空镀膜机、显微镜。
制作方法
图1为二极管外观图,其中31是方形载玻片,作二极管的衬板;3是铬层;2是硅层;1是锑层。制作方法见图2,图中的34是镀膜机转轴;26是模板;32是载料圆盘;31是方形载玻片;33是弹性压片;23是蒸镀膜用电极。

图1 玻璃衬板无偏二极管外观结构图
铬层3制作过程为:将镍铬丝电极装在图2中的23处,将模板26和方形载玻片31放在载料圆盘上。抽真空至5×10-3Pa,将镍铬丝通电至发红,由于铬的升华特性,载玻片上便可得到一层好的铬膜层。?
硅层2制作过程为:将螺旋型电极装在图2中的23处,电极上涂硅粉,将模板26和镀好铬的载玻片31放在载料圆盘上。抽真空至5×10-3 Pa,再加1.5 Pa氮气,通电将电极加热使硅熔化,在铬层上便形成了一层硅膜。?
锑层1制作过程为:将螺旋电极装在图2中的23处,将锑块夹到螺旋电极的螺旋中,将模板26和镀好铬和硅的载玻片31放在载料圆盘上。抽真空至5×10-3Pa,将电极通电,便可得到镀锑层。二极管制作结束。

图2 无偏二极管制作方法图
无偏二极管的性能
测量无偏二极管性能时,必须将它放入一个密封金属盒中。在这个密封盒中,光电池等器件输出电流电压应为零。制作成功的二极管性能见表1。

不掺杂的样品性能,可以保持数年。掺杂的样品性能可以保持数日至数月。这可能是由于用镀膜机掺杂不均匀所引起的。用镀膜机制作二极管,简单易行,但膜不坚固,难以得到较理想的稳定性。
以可伐合金为衬板,硅为半导体材料,掺杂2%铬粉制成的二极管,经过28天后,其放电性能见图3。其横坐标为时间,单位为min;左边的纵坐标为二极管输出电压,单位为mV;右边的纵坐标为二极管电流,单位为μA。图中有两条曲线,上边一条是电流曲线;下边一条是电压曲线。

图3 可伐合金衬板的无偏二极管性能
当用高真空镀膜时,膜是平的,见图4中的3。当用1.5 Pa~2Pa的氮蒸镀硅时形成如图中2的花纹,直径为0.7μm。1是锑层,为带井电极。经数百次实验证明如下规律:?
a) 当两块金属板夹一层半导体薄层时,如两块金属板都是平的,无论电极的材料、形状如何变化均无电流、电压;?
b) 如两块金属板一块是平的,另一块板上有很多井,当井的直径很小时,则产生电流、电压。出现电流与否与材料无关,与井的形状也无关;
c) 带井电极是负的;
d) 井的数目愈多电流愈大;井的直径愈小电流愈大。
在一个密封的金属盒中,唯一存在的能量形式是物质的热运动。

图4 玻璃衬板的无偏二极管的微观结构图?
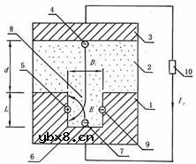
据以上实验结果,对无偏二极管的工作原理分析如下:固体无偏二极管由3层物质组成(见图5),外边的两层1、3彼此平行,由金属构成;中间的一层2由半导体构成。两个金属电极板中的一个是平的3,另一个是电极1上挖了很多井的6。当井的直径D1很小时,井壁的异性电荷5,9的吸引作用将很显著。由于该吸引力的作用,可使电荷5,9趋于井壁的表面,形成电场E。该电场的方向与电极板平行。由于电场E很强,使从平的电极发出的电子4和从井底发出的电子7轨迹弯曲,电子4,7被井壁收集。这样,该井将具有收集电子的功能,形成电流IT?。?

图5 无偏二极管工作原理图
以上的实验与分析说明无偏二极管是可行的。但作为能源研究项目,人们最关心的是它能否应用?怎样做才能达到应用目的?这是本课题最核心的问题。
二极管输出电压ET是由于导电电子的热运动引起的,实验结果如下:
![]()
由于导电电子热运动速度是不相同的,它们近似服从麦克斯韦尔分布。因此,无偏二极管工作电压可以在很大的范围内变化。实验表明当负载较重时它可输出30mV~50mV,负载很轻时可达600mV。串联实验可以证明,将多个二极管串联可以线性增加电压。无偏二极管在使用中应该将多个二极管串联,才能得到较高的电压,以满足应用。
目前的实验得到的电流很小,增加电流是否可能?为此,作者进行了长时间的研究。实验表明二极管输出电流IT和井的直径D1的5次方成反比。用纯理论计算的方法也可以推导出IT和D1之间的定量关系。由于该问题是一个关键问题,除用上述两种方法外,还用了另外两种方法求导IT和D1之间的公式,总共用了4种方法。4种方法结果基本一致,其结果是:
![]()
D1为井的直径,单位以cm计算;IT为电流,单位以A/cm2计算。
为了给出一个直观的概念,将IT和D1之间的关系列于表2。显然,缩小井的直径是增加电流最有效的办法。

由上述讨论可知,串联可以得到很高的电压,缩小井的直径可以获得强大的电流,有应用前景。
理论分析
能量来源的分析 ?
在半导体中有很多的导电电子,每立方厘米半导体中有10~18个导电电子。它们在作杂乱无章的热运动,其速度为107cm/s,是人造卫星速度的几十倍。可见导电电子的能量是很大的。显然,要巧妙地用自然力控制电子的运动,就可以得到很大的能量。此外,这种获得能量的过程,可以不断地自动重复,分析如下。?
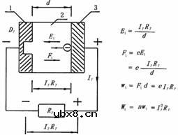
图6上面的器件是无偏二极管。其中右边的电极为平板电极,左边的电极为带井电极。显然,前者为正,后者为负。中间部分为半导体材料。由于DT是无偏二极管,故将其两端用导线相连时,则有一连续、持久的直流电流IT流过导线。如果在回路中串联电阻RT,二极管DT的端电压也是ITRT,该电压在二极管DT内部形成一个电场E1:
![]()

图6 能量来源的分析
式中,d表示两电极之间的距离,电场E1方向如图所示,与电子运动方向相同。由于DT具有无偏单向导电作用,所以电子可以由电极3到达电极1,反之困难。电极3中的电子由3到1运动过程中,受到减速力eE1的作用。当它到达电极1后,克服减速力F1所作的功w1为:
![]()
减速力F1与电子热运动方向相反,F1使该电子愈走愈慢。也可以这样理解,该电子推动电子流流动,因而该电子要降速。电子降速是获得能量的根源。
如果单位时间有n1个电子由电极3到达电极1,它们总共损失的能量W1为?
![]()
以n1e作为电流的单位,则有:?
![]()
就是,二极管将热运动速度较高的电子的多余能量W1拿出来,转变成电阻的功耗
![]()
负载发热,二极管吸热二者相等,通过环境构成循环。能量不断地自然循环,为人类所使用。
![]()
上述能量循环过程如图7所示。能量循环的推动力是导电电子的热运动。?

图7 能量循环图?
内能发动机 ?
人类从自然界获得能量,有两种途径。一种是向物质要能量:如内燃机、蒸汽机、原子能反应堆,这类机器统称为物质发动机,它们的共性是散发余热;另一种获得能量的途径是向内能库要能量,由无偏二极管组成的内能发动机就是其中的一种,这类发动机的共性是散发余冷。内能发动机不直观,由于历史原因,如科学的局限性,以前人们认为是不可能的,但随着科学技术的发展,它的制造已变成可能。
图8的右部分是一般的热机,它由高温热源、低温热源、蒸汽机3部分组成。蒸汽机从高温热源获得能量Q1,将其中的一部分转化成有用的输出功W1,将余热Q2送入低温热源中,蒸汽机效率η1为

图8的左部分是内能发动机。它的工作热机是无偏二极管。导电电子的热运动速度和导电电子数目之间的关系如图8所示。它近似为麦克斯韦分布。热运动速度高的导电电子相当于高温热源,热运动速度低的导电电子相当于低温热源。?
无偏二极管中热运动速度高的参加能量转化的导电电子能量总和为Q1,其中W1部分转化为电阻的能量,降速后的电子能量总和为Q2,显然有:??

式(8)与式(9)完全相同。两种发动机工作过程也极为相似,工作中必须有两个热源。?

图8 内能发动机与蒸汽机的比较?
两种发动机所不同的是:蒸汽机必须不断添加燃料,余热散发到环境中之后无法循环利用。而内能发动机的余热Q2和散发到环境中的热量Q3可以自动地再回到二极管中。热运动速度低的电子可以通过碰撞变成热运动速度高的电子。内能发动机利用这一巧妙循环,给人类不断地提供能量。巧用循环对人们并不陌生。人们所用的空气、水都是通过巧用循环得到的。显然,导电电子速度是不相同的,有的快有的慢,是内能发动机输出能量的关键。假设,导电电子速度是相同的,如图9所示。电子从电极3向电极1的运动过程中就不可能降速。导电电子的能量就拿不出来。无偏二极管就不可能输出电流、电压。

图9 假设的电子分布图
能量等效定律 ?
自然界中能量有多种形式,如电能、化学能、动能、位能等等,多种能量可以互相转化,表现出等效性。然而,无论何种能量一旦转变成散发到环境中的热量,如不另外作功,该热量再也转化不回来了。也就是散发到环境中的热量与其它能量形式之间是不能等效的。无偏二极管可将散发到环境中的热量自动地转化为电能,电能又可转化成其它形式的能量。这样,无论能量的形式如何,不论是单一热源中的热量,还是两个热源中的热量,均可彼此相互转化,且彼此等效。显然用下述语言描述全部实验是合理的,简称能量等效定律:
自然界中的能量有各种不同的形式,不论能量的形式如何,均可借助于无偏二极管和现有的其它技术手段,任意转化,彼此等效,不产生其它影响。
这一定律的陈述与能量守恒定律的形式很相象。如能将能量守恒定律与能量等效定律合并成一个新的定律,则新定律更加完善,称为能量守恒、等效定律:
自然界中的能量有各种不同的形式,能够从一种形式转化为另一种形式,在转化中能量的数量不变,彼此等效。?
下划线部分是作者增加的,其余部分是原来的能量守恒定律的内容。能量守恒、等效定律的数学表达式如式(10)所示:
![]()
去掉双向箭头,公式两端以等号连接,就是原来的能量守恒定律。双向箭头表示可以任意转化,表示等效。
式(10)也可以理解为物质守恒、等效定律的表达式。由于,式(10)也可以理解为物质和能量合到一起的守恒、等效定律。这样,式(10)也可以不指出它是能量的,还是物质的,而将它统称为守恒、等效定律。为了简单,也可以将两句话中间的顿号取消,而成为守恒等效定律。守恒等效定律可以解释宇宙的永恒性。
无偏二极管遵守热力学第二定律
从表面上看,本实验与热力学第二定律相矛盾,但是仔细分析起来,人们将看出两者并不矛盾。
热力学第二定律内容如下:在一个孤立系统中,熵趋于增大。
对于热力学第二定律必须有正确的理解,它所阐明的是大量分子集合表现出来的统计规律。对于包含分子数目很少的体系,第二定律是不适用的。因为分子很少时,微观粒子不对称热运动效应是不能忽略的。例如只包含两个分子的长方形体系,很有可能出现体系的一半有两个分子,而另一半则是空着的情况。
对于包含大量分子的体系,微观粒子不对称热运动效应是可以忽略不计的。例如一个包含一万个分子的长方形体系,可以出现其左半部分有5001个分子,而右半部分有4999个分子的情况,这时分子的不对称热运动效应完全可以忽略不计。热力学第二定律有效。
上述对热力学第二定律的解释是物理学界所公认的,不存在任何疑议。
如将公认的热力学第二定律和公认的对热力学第二定律的解释合到一起,定律则简明扼要,不用解释。这时热力学第二定律应为:在一个微观粒子不对称热运动效应可以忽略不计的孤立系统中,熵趋于增大。
显然,这一新的表述,也应该是被公认的。称为完整的热力学第二定律。将本实验与完整的热力学第二定律相比较,人们会发现,它们之间无任何矛盾。
无偏二极管具有诱人的应用前景。它由硅构成,资源丰富,体积小。将多个无偏二极管串联,可以构成强大的发电器,带动各种电器,如作为手机、笔记本电脑、电动汽车等的电源。它不污染环境,从取之不尽的环境中获取能量,不需加油,不需充电,是一种新型的理想能源。
东芝牌RAC-45NHE型空调机电路图
时间:2026-03-04
杜鹃牌XPB2-3型洗衣机电路图
时间:2026-03-04
干衣机电路图
时间:2026-03-04
古桥牌KC-30DE型牌窗式空调机电路图
时间:2026-03-04
好乐牌KC-42R型窗式空调机电路图
时间:2026-03-04
佳乐牌KCS-12型窗式空调机电路图
时间:2026-03-04
江南牌KC-20型窗式空调器电路图
时间:2026-03-04
江南牌KCD-31型窗式空调器电路图
时间:2026-03-04
金羚牌XQB30-5型全自动洗衣机电路图
时间:2026-03-04
日产AW B310B型洗衣机控制器电路图
时间:2026-03-04
瞬间抑制二极管(TVS)/瞬间抑制二极管(TVS)是...
时间:2026-03-04
常用整流二极管型号大全
时间:2026-03-04
S/HS固态继电器原理简介
时间:2026-03-04
稳压二极管的选用和代换
时间:2026-03-04
TVS器件的电特性有哪些
时间:2026-03-04
TVS二极管的分类/应用,TVS二极管的特点/选用...
时间:2026-03-04
快恢复二极管,快恢复二极管是什么意思
时间:2026-03-04
PN结温度传感器工作原理是什么?
时间:2026-03-04
双向二极管起什么作用?
时间:2026-03-04
半导体材料的主要种类有哪些?
时间:2026-03-04