同相比例放大电路
电工基础2026-03-04
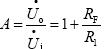
同相比例放大电路 1 同相比例放大电路(图3.8a.3)的输入信号是从集成运放的同相输入端引入,输出信号按比例放大,并与输入信号同相。电压放大倍数
同相加法电路(由LF155组成的)
电工基础2026-03-04
同相加法电路(由LF155组成的) 三个输入信号同时加到运放同相端,其输入输出电压关系式:
常用整流二极管型号大全
时间:2026-03-04
整流二极管参数大全
时间:2026-03-04
整流二极管的型号如何区分?
时间:2026-03-04
整流二极管的作用及其整流电路
时间:2026-03-04
整流二极管工作原理是什么?
时间:2026-03-04
电子整流器工作原理详细分析
时间:2026-03-04
整流堆,什么是整流堆
时间:2026-03-04
桥式整流器,什么是桥式整流器
时间:2026-03-04
桥式整流器原理电路
时间:2026-03-04
限幅二极管,什么是限幅二极管
时间:2026-03-04
三相异步电动机原理
时间:2026-03-04
电度表的工作原理
时间:2026-03-04
三相异步电动机的拆装详讲
时间:2026-03-04
三相异步电动机的七种调速方式
时间:2026-03-04
电风扇红外遥控器2
时间:2026-03-04
由三个接触器组成的电动机正反转控制电路图
时间:2026-03-04
电动机单线远程正反转控制电路图
时间:2026-03-04
USB转232电路图
时间:2026-03-04
PWM直流电机驱动电路及程序
时间:2026-03-04
动物叫声竞猜游戏机电路原理图
时间:2026-03-04